mp-753488/Li8NiO4F2/anharm

Harmonic properties

../../_images/fig_bandos_pr4011.png

(a) Phonon dispersion with participation ratio and DOS

../../_images/fig_thermo4011.png

(b) Thermodynamic properties

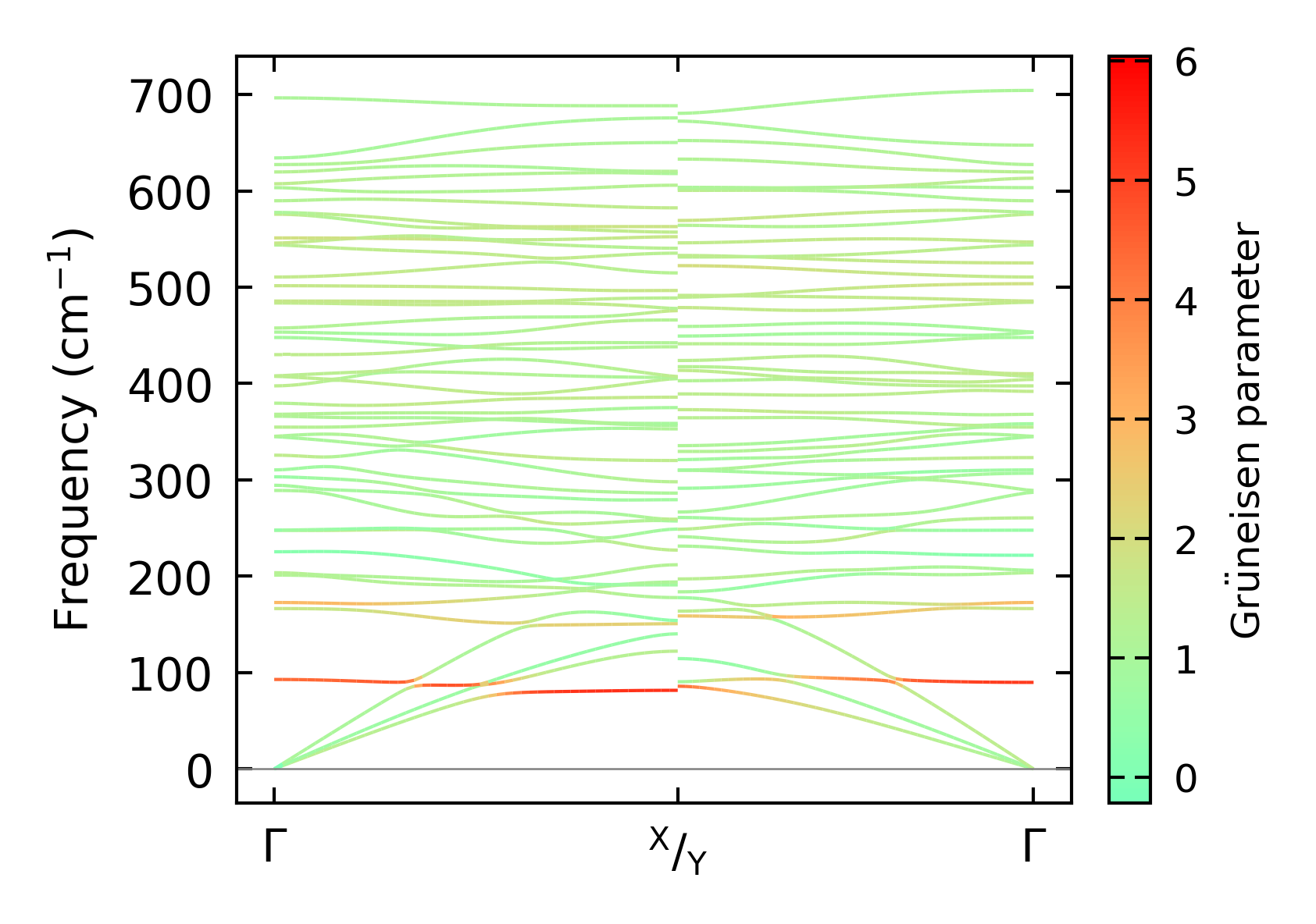
Grüneisen parameters

../../_images/fig_gru_all1803.png

(a) Grüneisen parameters

../../_images/fig_gruneisen1803.png

(b) Phonon dispersion with Grüneisen parameters

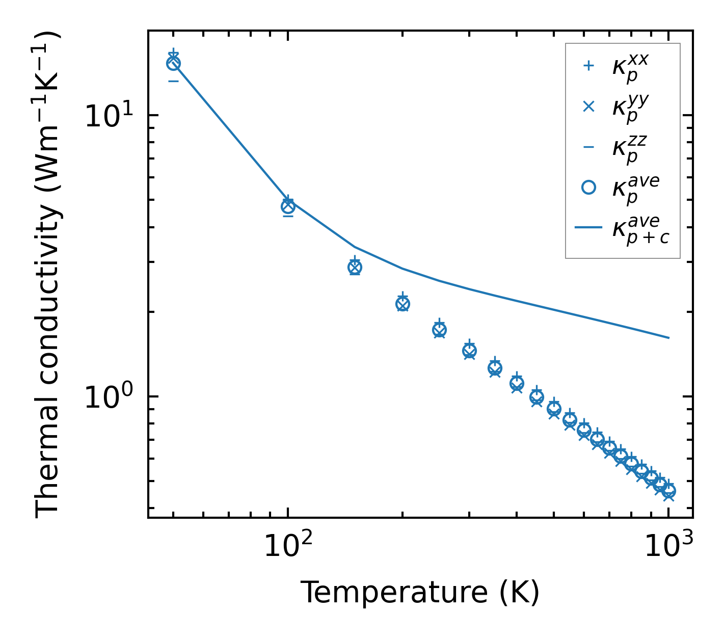
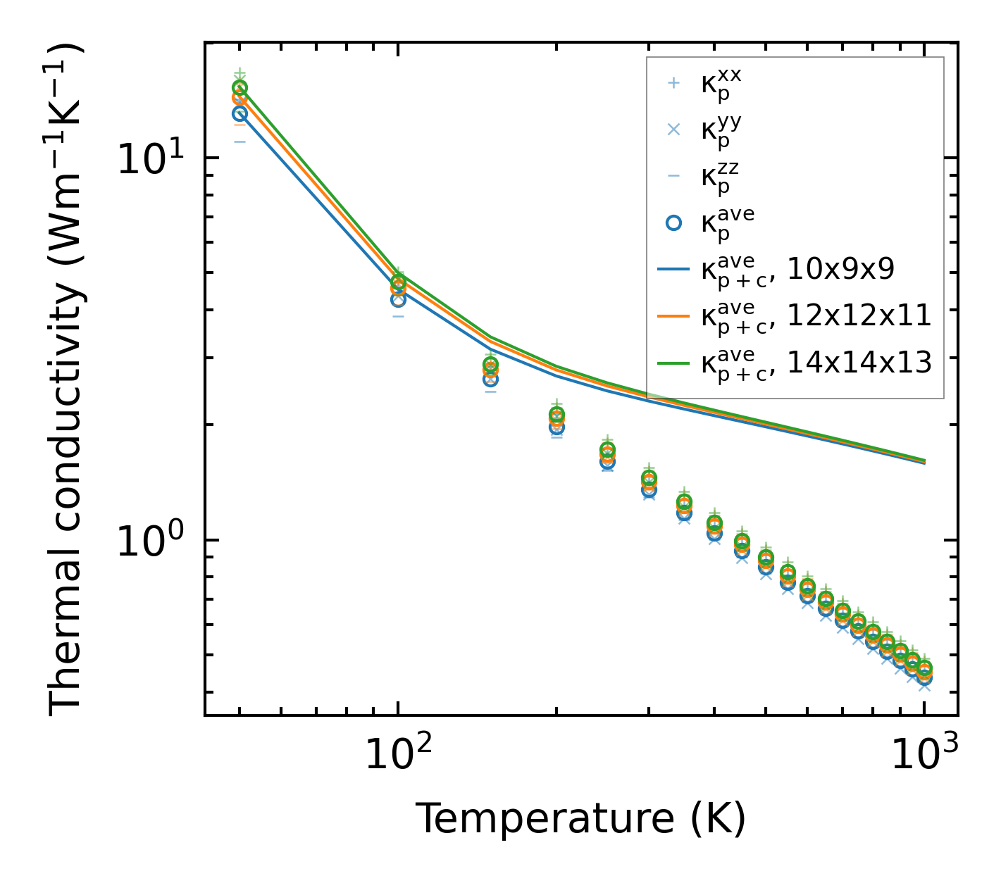
Thermal conductivity

3-phonon (LASSO) — q-mesh: 14x14x13, supercell: 2x2x2

../../_images/fig_kappa3464.png

(a) Temperature-dependent lattice thermal conductivity

../../_images/fig_kappa_vs_grain_size1831.png

(b) Peierls lattice thermal conductivity w.r.t grain size

Phonon lifetime and scattering rates

../../_images/fig_lifetime1793.png

(a) Phonon lifetime due to phonon-phonon scattering

../../_images/fig_scat_rates1792.png

(b) Phonon scattering rates

Cumulative and spectral thermal conductivity

../../_images/fig_cumu_frequency1793.png

(a) Spectral and cumulative thermal conductivity w.r.t frequency

../../_images/fig_cumu_mfp1793.png

(b) Spectral and cumulative thermal conductivity w.r.t MFP

Force constants

../../_images/fig_fc23824.png

(a) Force constants w.r.t atomic distance

Summary

../../_images/fig_kappa3465.png

(a) Temperature-dependent lattice thermal conductivity

../../_images/fig_times6946.png

(b) Computation time