mp-753737/Li3CuS2/anharm

Harmonic properties

../../_images/fig_bandos_pr3729.png

(a) Phonon dispersion with participation ratio and DOS

../../_images/fig_thermo3729.png

(b) Thermodynamic properties

Grüneisen parameters

../../_images/fig_gru_all1681.png

(a) Grüneisen parameters

../../_images/fig_gruneisen1681.png

(b) Phonon dispersion with Grüneisen parameters

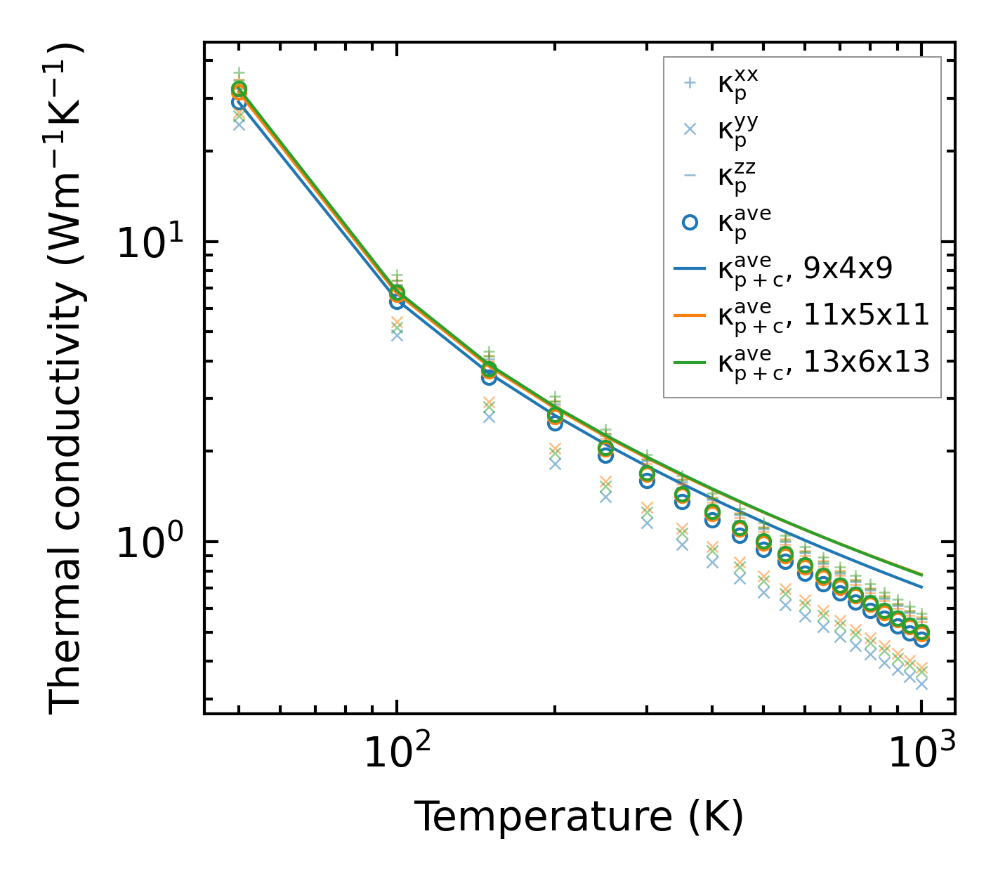
Thermal conductivity

3-phonon (LASSO) — q-mesh: 13x6x13, supercell: 3x1x2

../../_images/fig_kappa3232.png

(a) Temperature-dependent lattice thermal conductivity

../../_images/fig_kappa_vs_grain_size1704.png

(b) Peierls lattice thermal conductivity w.r.t grain size

Phonon lifetime and scattering rates

../../_images/fig_lifetime1671.png

(a) Phonon lifetime due to phonon-phonon scattering

../../_images/fig_scat_rates1670.png

(b) Phonon scattering rates

Cumulative and spectral thermal conductivity

../../_images/fig_cumu_frequency1671.png

(a) Spectral and cumulative thermal conductivity w.r.t frequency

../../_images/fig_cumu_mfp1671.png

(b) Spectral and cumulative thermal conductivity w.r.t MFP

Force constants

../../_images/fig_fc23545.png

(a) Force constants w.r.t atomic distance

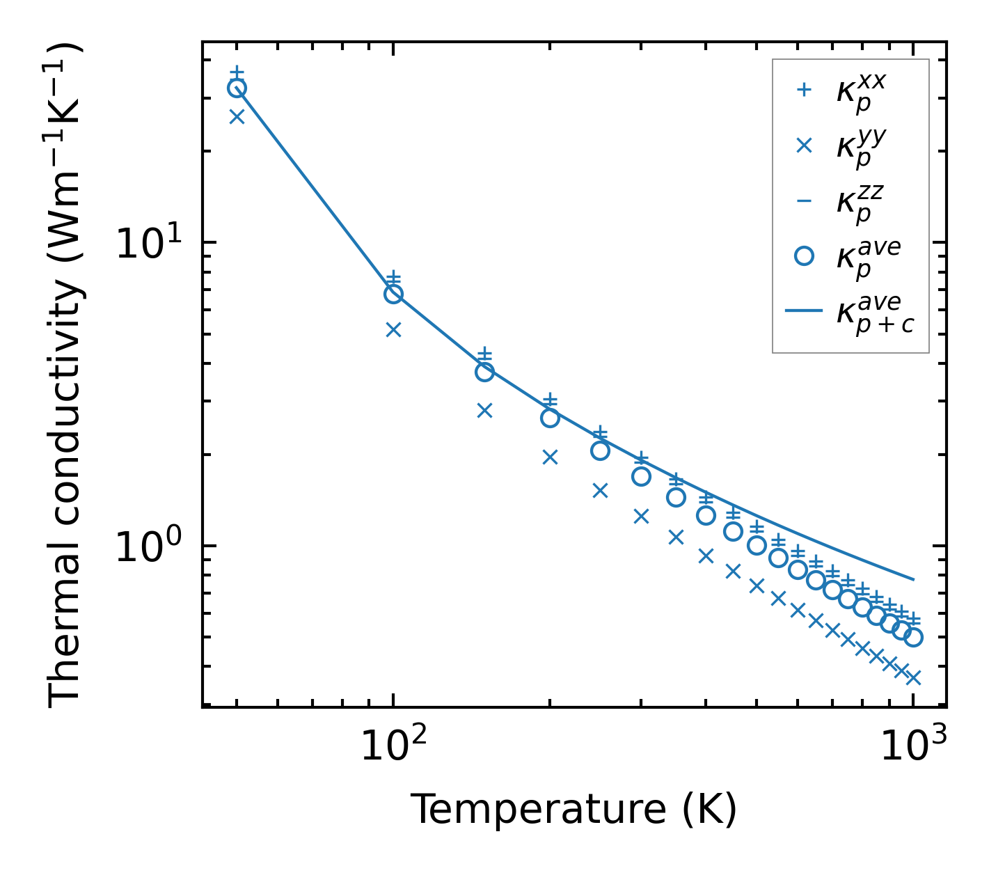
Summary

../../_images/fig_kappa3233.png

(a) Temperature-dependent lattice thermal conductivity

../../_images/fig_times6476.png

(b) Computation time