mp-753488-2/Li8NiO4F2/anharm

Harmonic properties

../../_images/fig_bandos_pr4012.png

(a) Phonon dispersion with participation ratio and DOS

../../_images/fig_thermo4012.png

(b) Thermodynamic properties

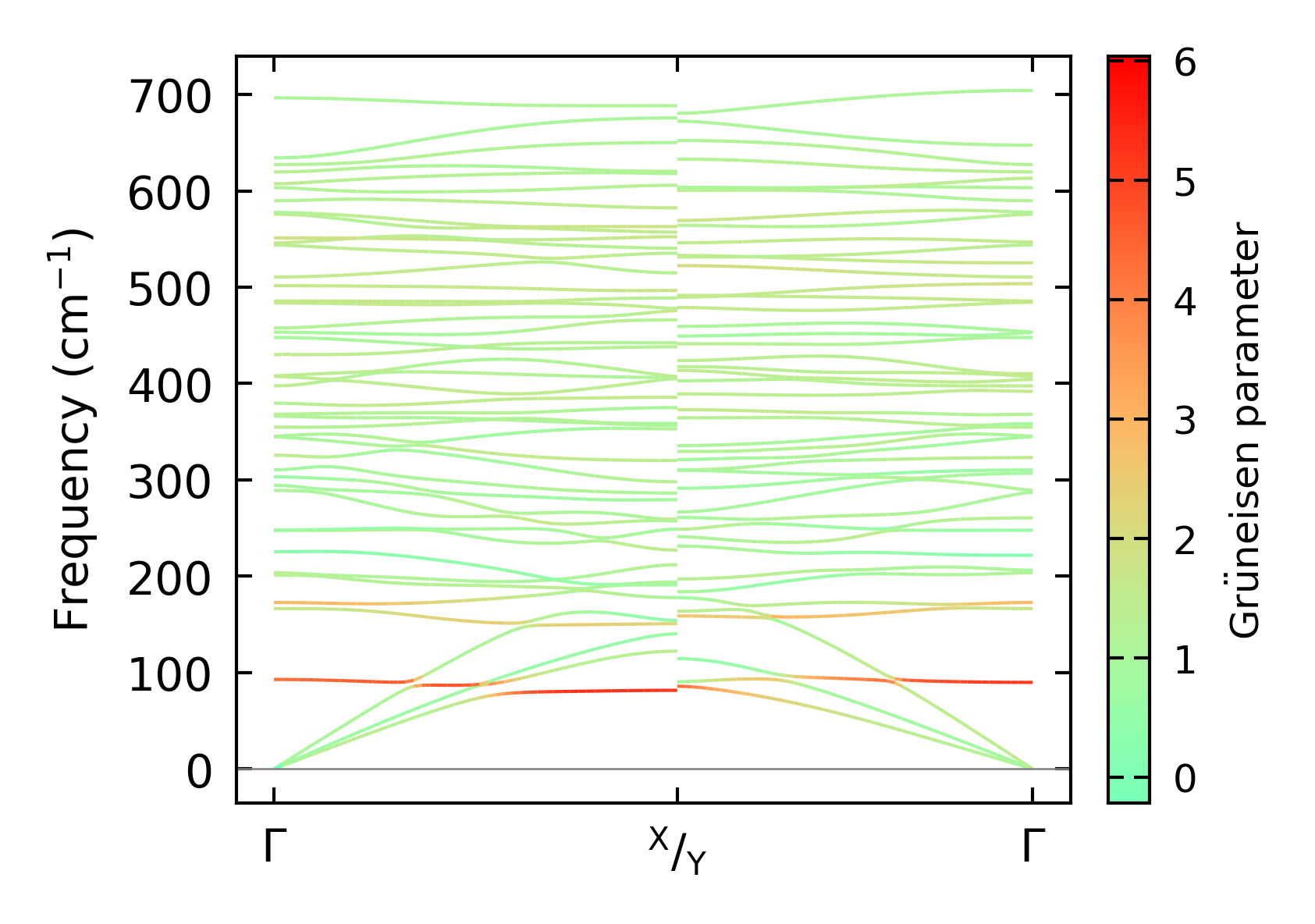
Grüneisen parameters

../../_images/fig_gru_all1804.png

(a) Grüneisen parameters

../../_images/fig_gruneisen1804.png

(b) Phonon dispersion with Grüneisen parameters

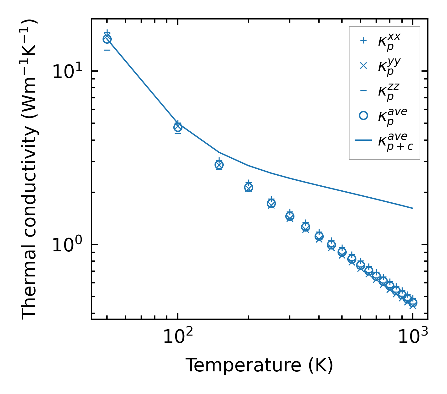
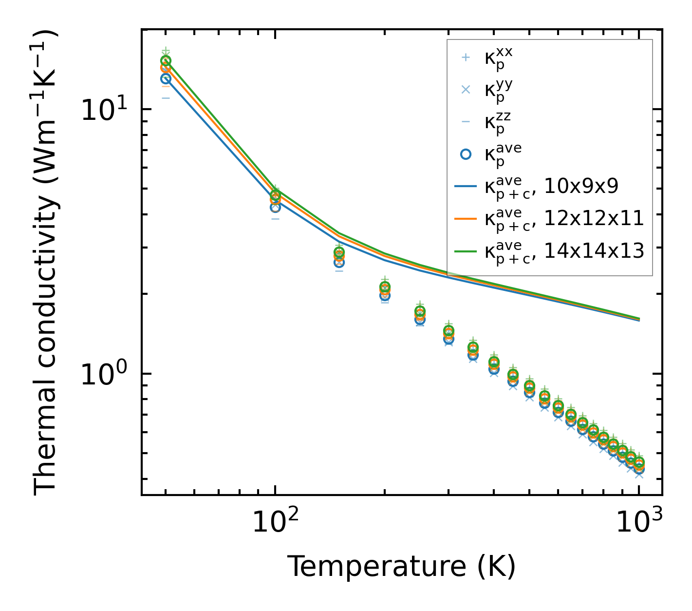
Thermal conductivity

3-phonon (LASSO) — q-mesh: 14x14x13, supercell: 2x2x2

../../_images/fig_kappa3466.png

(a) Temperature-dependent lattice thermal conductivity

../../_images/fig_kappa_vs_grain_size1832.png

(b) Peierls lattice thermal conductivity w.r.t grain size

Phonon lifetime and scattering rates

../../_images/fig_lifetime1794.png

(a) Phonon lifetime due to phonon-phonon scattering

../../_images/fig_scat_rates1793.png

(b) Phonon scattering rates

Cumulative and spectral thermal conductivity

../../_images/fig_cumu_frequency1794.png

(a) Spectral and cumulative thermal conductivity w.r.t frequency

../../_images/fig_cumu_mfp1794.png

(b) Spectral and cumulative thermal conductivity w.r.t MFP

Force constants

../../_images/fig_fc23825.png

(a) Force constants w.r.t atomic distance

Summary

../../_images/fig_kappa3467.png

(a) Temperature-dependent lattice thermal conductivity

../../_images/fig_times6947.png

(b) Computation time