mp-753720/Li3BiS3/anharm

Equation of state

../../_images/fig_bm1824.png

(a) Equation of state

Harmonic properties

../../_images/fig_bandos_pr3727.png

(a) Phonon dispersion with participation ratio and DOS

../../_images/fig_bandos4971.png

(b) Phonon dispersion and DOS

../../_images/fig_thermo3727.png

(c) Thermodynamic properties

Grüneisen parameters

../../_images/fig_gru_all1680.png

(a) Grüneisen parameters

../../_images/fig_gruneisen1680.png

(b) Phonon dispersion with Grüneisen parameters

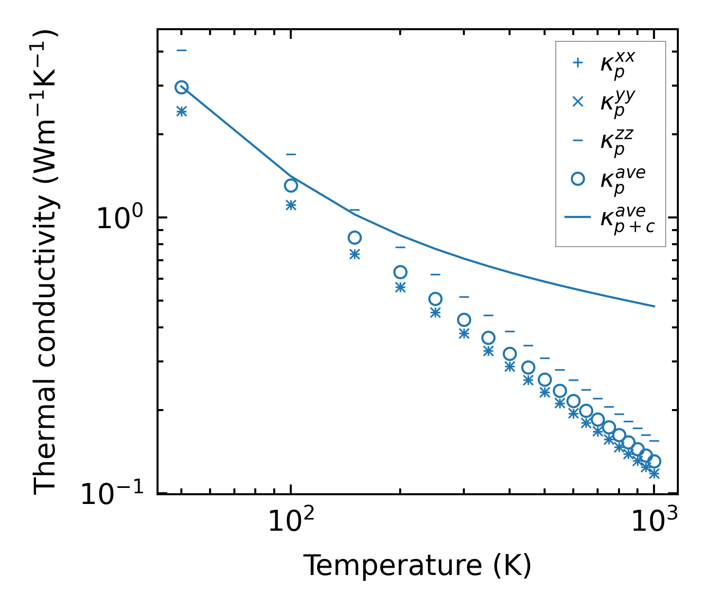
Thermal conductivity

3-phonon (LASSO), supercell 2x2x1 — q-mesh: 10x10x10, supercell: 2x2x1

../../_images/fig_kappa3231.png

(a) Temperature-dependent lattice thermal conductivity

../../_images/fig_kappa_vs_grain_size1703.png

(b) Peierls lattice thermal conductivity w.r.t grain size

Phonon lifetime and scattering rates

../../_images/fig_lifetime1670.png

(a) Phonon lifetime due to phonon-phonon scattering

../../_images/fig_scat_rates1669.png

(b) Phonon scattering rates

Cumulative and spectral thermal conductivity

../../_images/fig_cumu_frequency1670.png

(a) Spectral and cumulative thermal conductivity w.r.t frequency

../../_images/fig_cumu_mfp1670.png

(b) Spectral and cumulative thermal conductivity w.r.t MFP

Force constants

../../_images/fig_fc23543.png

(a) Force constants w.r.t atomic distance

Summary

../../_images/fig_times6473.png

(a) Computation time