mp-753520/Li3BiS3/anharm

Harmonic properties

../../_images/fig_bandos_pr4015.png

(a) Phonon dispersion with participation ratio and DOS

../../_images/fig_thermo4015.png

(b) Thermodynamic properties

Grüneisen parameters

../../_images/fig_gru_all1807.png

(a) Grüneisen parameters

../../_images/fig_gruneisen1807.png

(b) Phonon dispersion with Grüneisen parameters

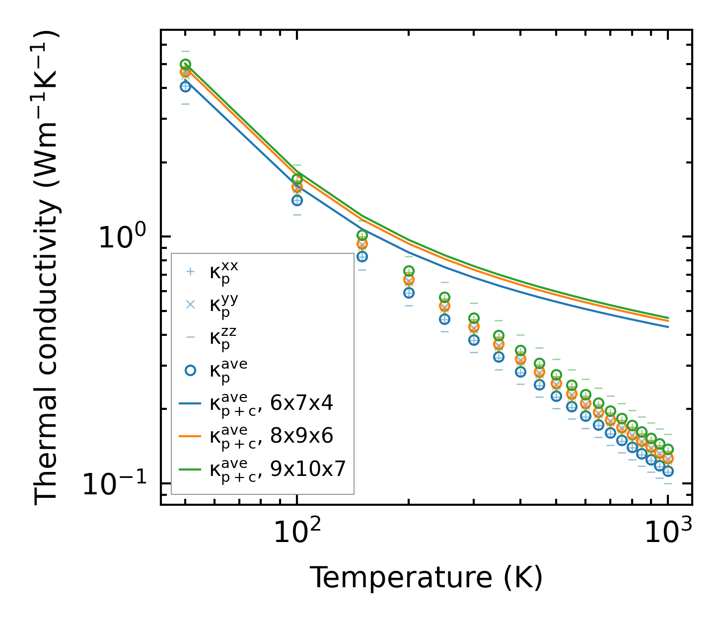
Thermal conductivity

3-phonon (LASSO) — q-mesh: 9x10x7, supercell: 2x2x1

../../_images/fig_kappa3472.png

(a) Temperature-dependent lattice thermal conductivity

../../_images/fig_kappa_vs_grain_size1835.png

(b) Peierls lattice thermal conductivity w.r.t grain size

Phonon lifetime and scattering rates

../../_images/fig_lifetime1797.png

(a) Phonon lifetime due to phonon-phonon scattering

../../_images/fig_scat_rates1796.png

(b) Phonon scattering rates

Cumulative and spectral thermal conductivity

../../_images/fig_cumu_frequency1797.png

(a) Spectral and cumulative thermal conductivity w.r.t frequency

../../_images/fig_cumu_mfp1797.png

(b) Spectral and cumulative thermal conductivity w.r.t MFP

Force constants

../../_images/fig_fc23828.png

(a) Force constants w.r.t atomic distance

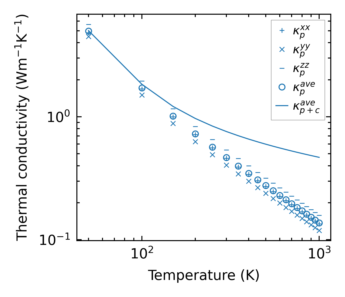
Summary

../../_images/fig_kappa3473.png

(a) Temperature-dependent lattice thermal conductivity

../../_images/fig_times6952.png

(b) Computation time