mp-1189897/Ba2ThS6/anharm

Harmonic properties

../../_images/fig_bandos_pr15944.png

(a) Phonon dispersion with participation ratio and DOS

../../_images/fig_thermo15943.png

(b) Thermodynamic properties

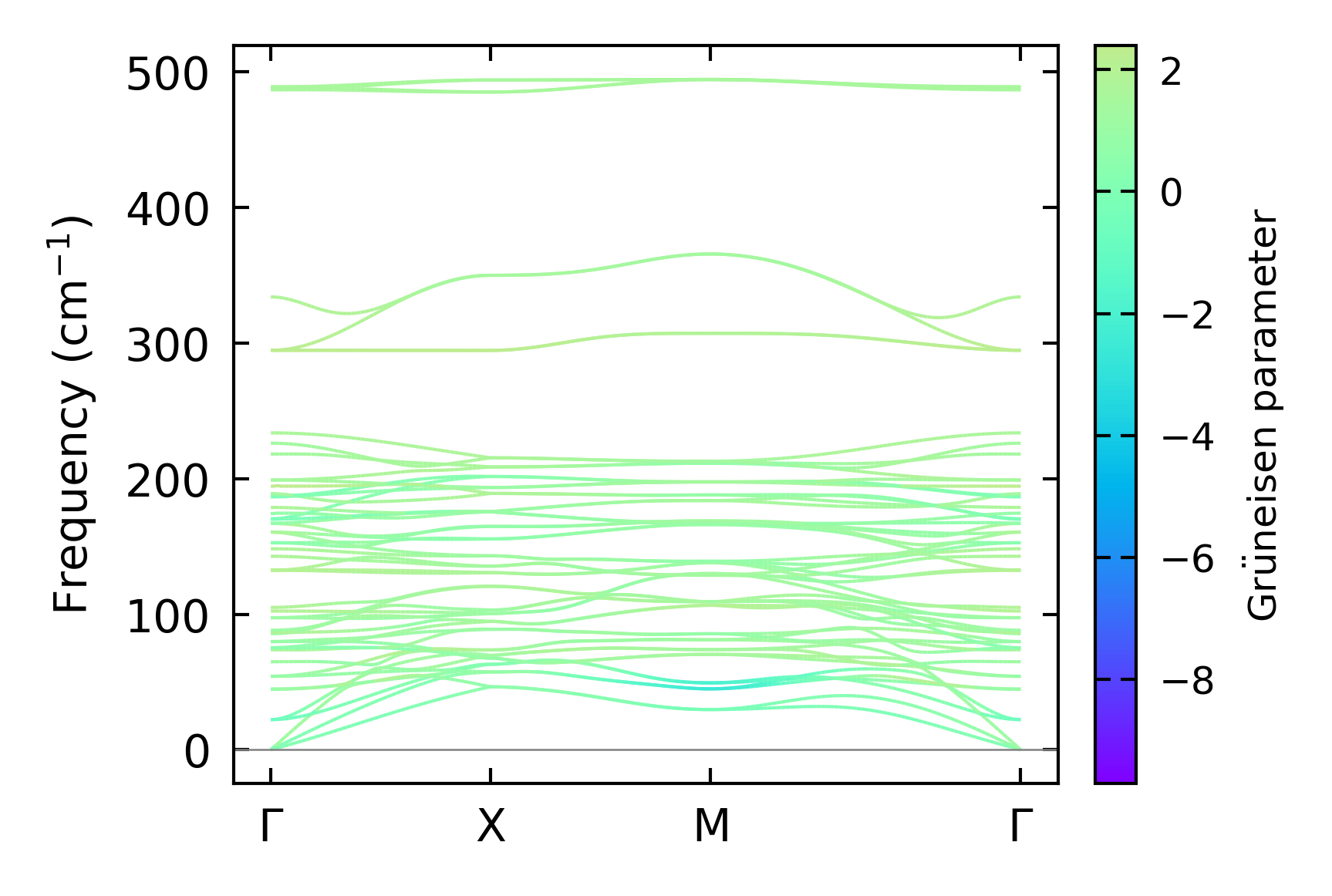
Grüneisen parameters

../../_images/fig_gru_all6913.png

(a) Grüneisen parameters

../../_images/fig_gruneisen6913.png

(b) Phonon dispersion with Grüneisen parameters

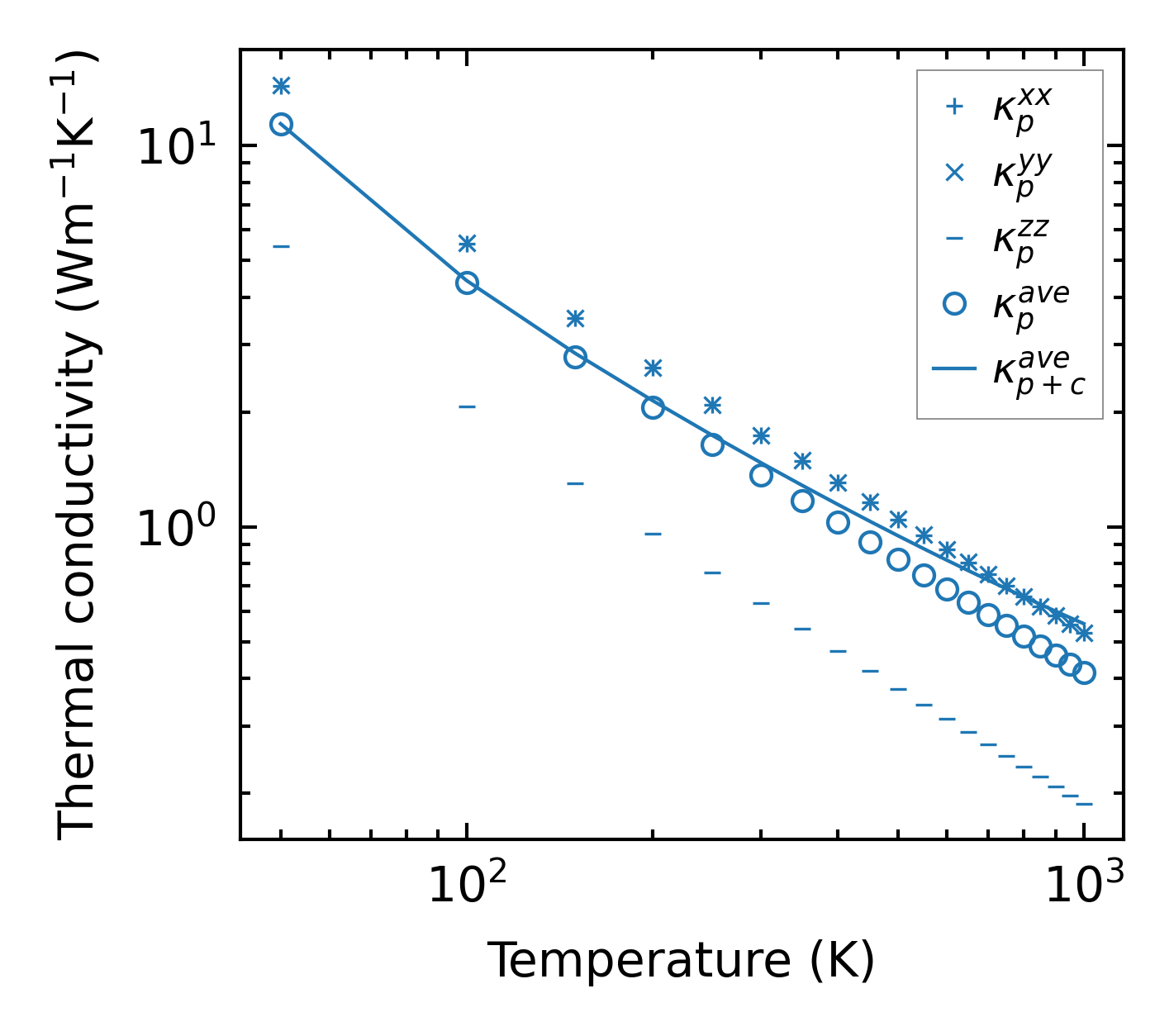
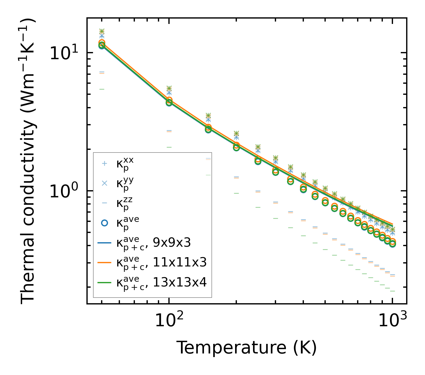
Thermal conductivity

3-phonon (LASSO) — q-mesh: 13x13x4, supercell: 2x2x1

../../_images/fig_kappa13016.png

(a) Temperature-dependent lattice thermal conductivity

../../_images/fig_kappa_vs_grain_size6994.png

(b) Peierls lattice thermal conductivity w.r.t grain size

Phonon lifetime and scattering rates

../../_images/fig_lifetime6847.png

(a) Phonon lifetime due to phonon-phonon scattering

../../_images/fig_scat_rates6846.png

(b) Phonon scattering rates

Cumulative and spectral thermal conductivity

../../_images/fig_cumu_frequency6847.png

(a) Spectral and cumulative thermal conductivity w.r.t frequency

../../_images/fig_cumu_mfp6846.png

(b) Spectral and cumulative thermal conductivity w.r.t MFP

Force constants

../../_images/fig_fc215539.png

(a) Force constants w.r.t atomic distance

Summary

../../_images/fig_kappa13017.png

(a) Temperature-dependent lattice thermal conductivity

../../_images/fig_times26260.png

(b) Computation time