mp-1189811/CeSb12Ru4/anharm

Equation of state

../../_images/fig_bm7698.png

(a) Equation of state

Harmonic properties

../../_images/fig_bandos_pr15939.png

(a) Phonon dispersion with participation ratio and DOS

../../_images/fig_thermo15938.png

(b) Thermodynamic properties

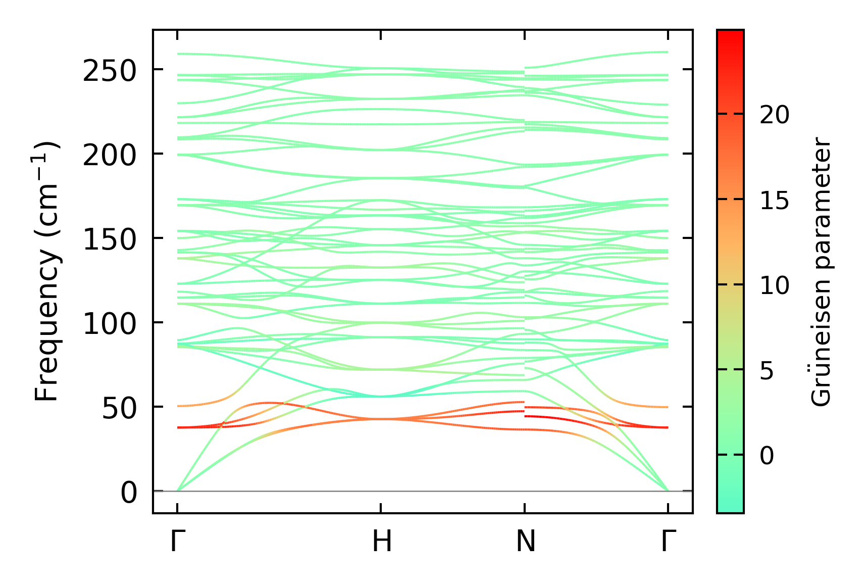
Grüneisen parameters

../../_images/fig_gru_all6911.png

(a) Grüneisen parameters

../../_images/fig_gruneisen6911.png

(b) Phonon dispersion with Grüneisen parameters

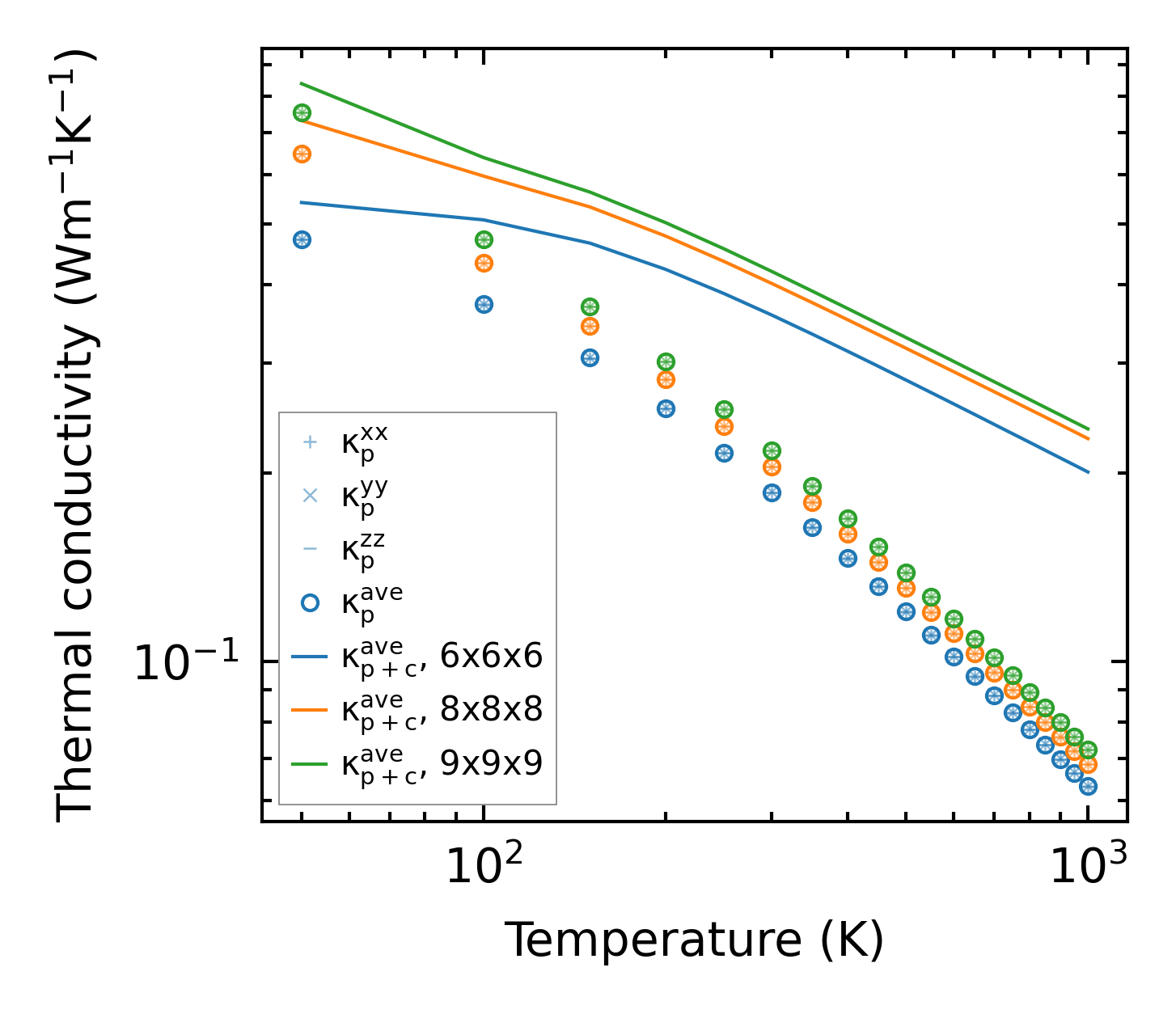
Thermal conductivity

3-phonon (LASSO) — q-mesh: 9x9x9, supercell: 1x1x1

../../_images/fig_kappa13012.png

(a) Temperature-dependent lattice thermal conductivity

../../_images/fig_kappa_vs_grain_size6992.png

(b) Peierls lattice thermal conductivity w.r.t grain size

Phonon lifetime and scattering rates

../../_images/fig_lifetime6845.png

(a) Phonon lifetime due to phonon-phonon scattering

../../_images/fig_scat_rates6844.png

(b) Phonon scattering rates

Cumulative and spectral thermal conductivity

../../_images/fig_cumu_frequency6845.png

(a) Spectral and cumulative thermal conductivity w.r.t frequency

../../_images/fig_cumu_mfp6844.png

(b) Spectral and cumulative thermal conductivity w.r.t MFP

Force constants

../../_images/fig_fc215534.png

(a) Force constants w.r.t atomic distance

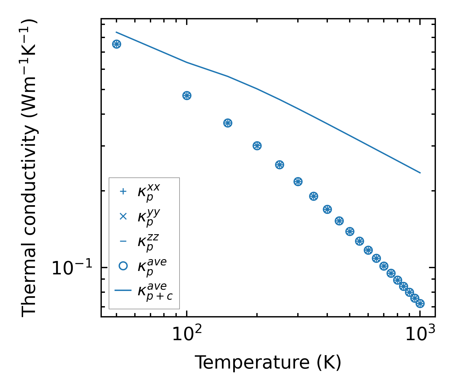
Summary

../../_images/fig_kappa13013.png

(a) Temperature-dependent lattice thermal conductivity

../../_images/fig_times26253.png

(b) Computation time