mp-1189158/Rb3Ru2NCl8O2/harm

Harmonic properties

../../_images/fig_bandos_pr15905.png

(a) Phonon dispersion with participation ratio and DOS

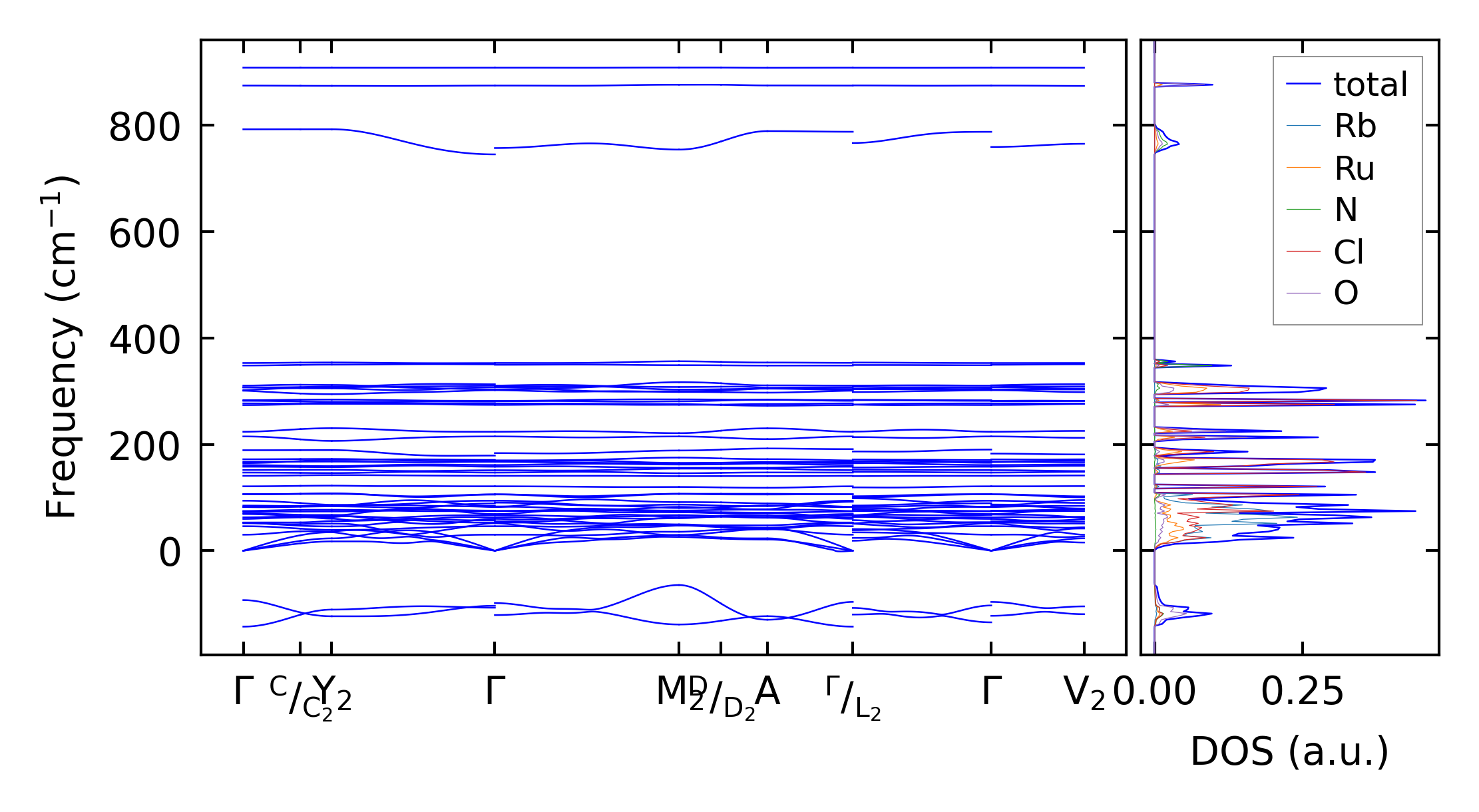
../../_images/fig_bandos20316.png

(b) Phonon dispersion and DOS

../../_images/fig_thermo15904.png

(c) Thermodynamic properties

Force constants

../../_images/fig_fc215500.png

(a) Force constants w.r.t atomic distance

Summary

../../_images/fig_times26202.png

(a) Computation time