mp-1189305/Sr3Al2As4/anharm

Harmonic properties

../../_images/fig_bandos_pr15913.png

(a) Phonon dispersion with participation ratio and DOS

../../_images/fig_thermo15912.png

(b) Thermodynamic properties

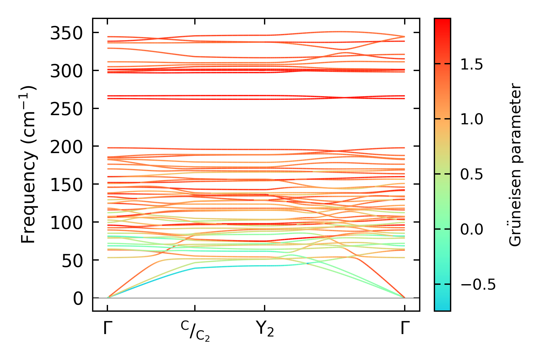
Grüneisen parameters

../../_images/fig_gru_all6894.png

(a) Grüneisen parameters

../../_images/fig_gruneisen6894.png

(b) Phonon dispersion with Grüneisen parameters

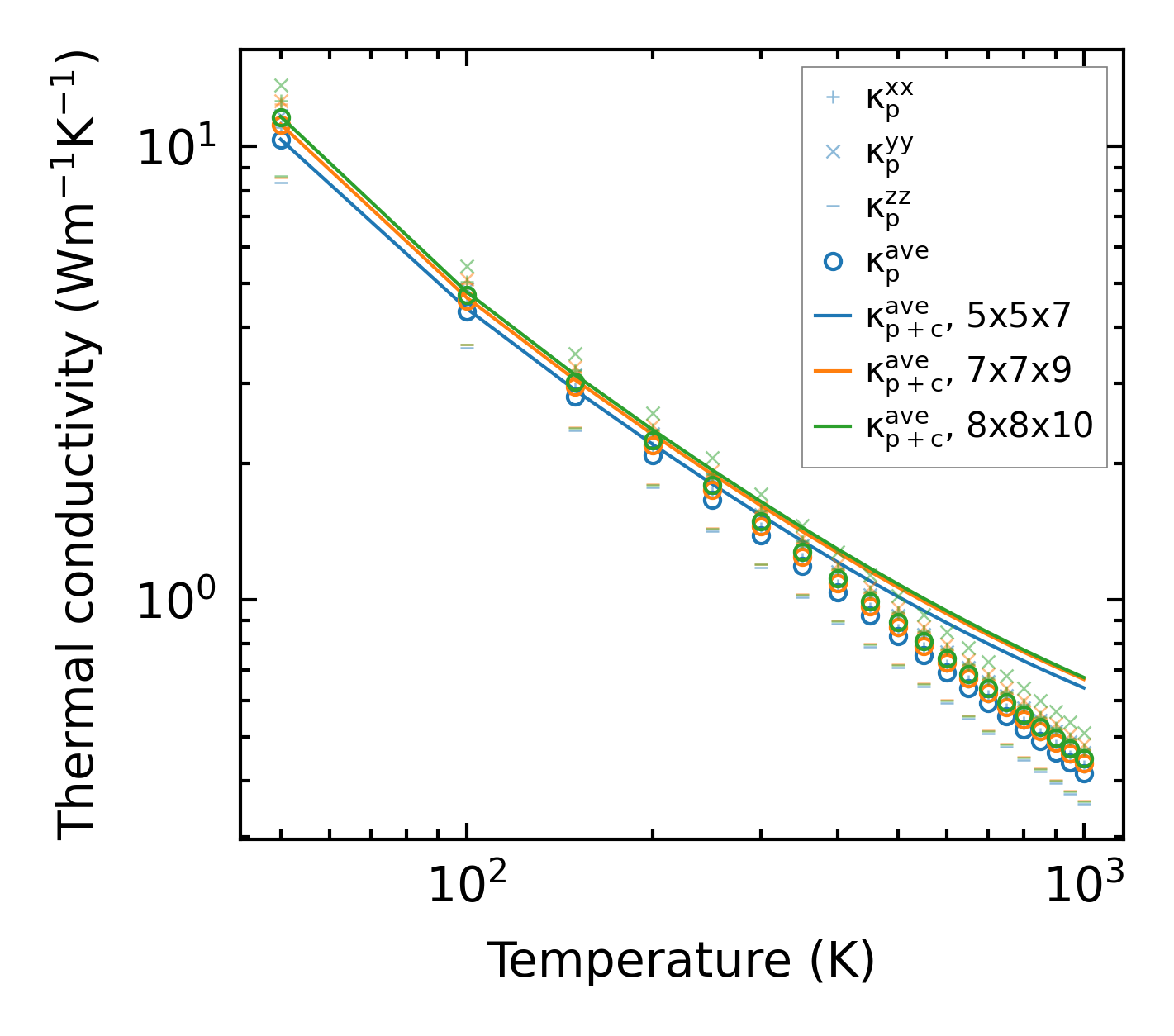
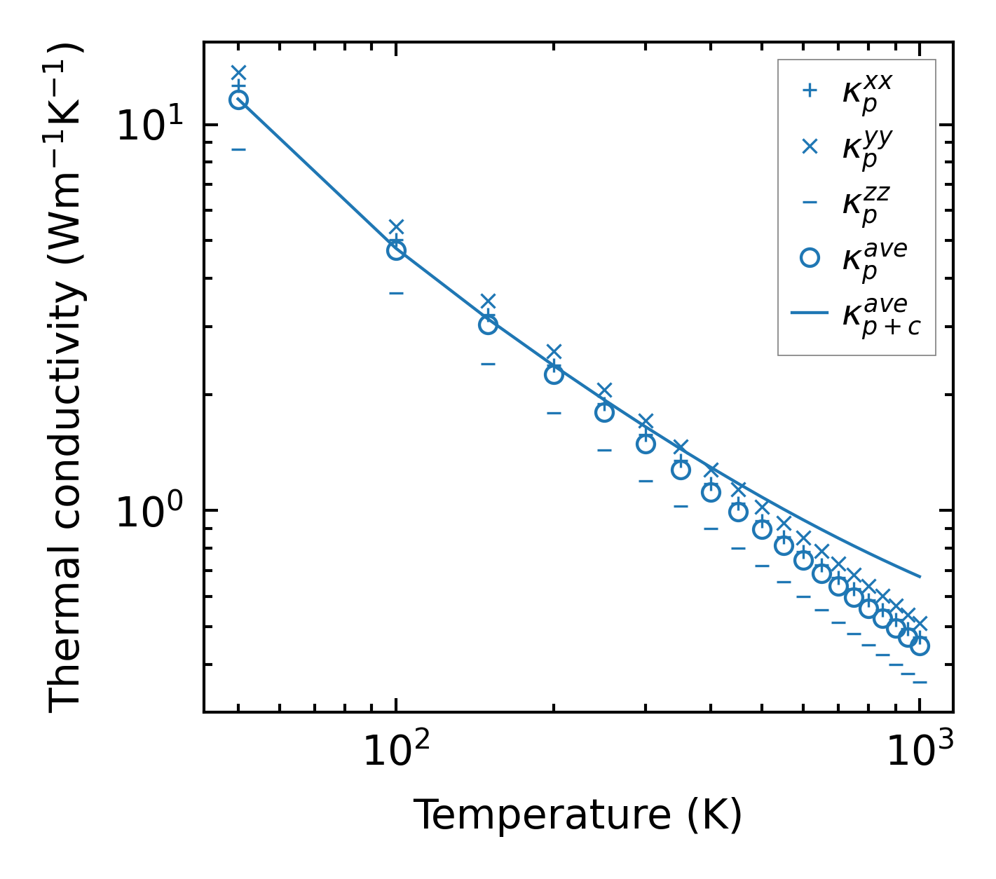
Thermal conductivity

3-phonon (LASSO) — q-mesh: 8x8x10, supercell: 1x2x2

../../_images/fig_kappa12980.png

(a) Temperature-dependent lattice thermal conductivity

../../_images/fig_kappa_vs_grain_size6974.png

(b) Peierls lattice thermal conductivity w.r.t grain size

Phonon lifetime and scattering rates

../../_images/fig_lifetime6828.png

(a) Phonon lifetime due to phonon-phonon scattering

../../_images/fig_scat_rates6827.png

(b) Phonon scattering rates

Cumulative and spectral thermal conductivity

../../_images/fig_cumu_frequency6828.png

(a) Spectral and cumulative thermal conductivity w.r.t frequency

../../_images/fig_cumu_mfp6827.png

(b) Spectral and cumulative thermal conductivity w.r.t MFP

Force constants

../../_images/fig_fc215508.png

(a) Force constants w.r.t atomic distance

Summary

../../_images/fig_kappa12981.png

(a) Temperature-dependent lattice thermal conductivity

../../_images/fig_times26213.png

(b) Computation time