mp-1189757/Dy2SnS5/anharm

Harmonic properties

../../_images/fig_bandos_pr15936.png

(a) Phonon dispersion with participation ratio and DOS

../../_images/fig_thermo15935.png

(b) Thermodynamic properties

Grüneisen parameters

../../_images/fig_gru_all6908.png

(a) Grüneisen parameters

../../_images/fig_gruneisen6908.png

(b) Phonon dispersion with Grüneisen parameters

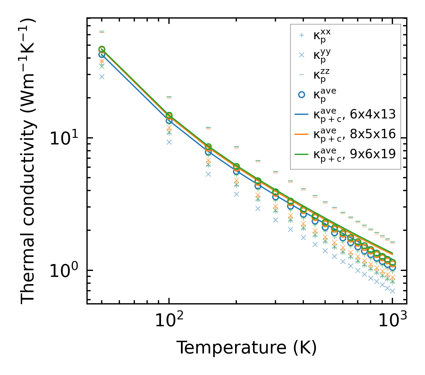
Thermal conductivity

3-phonon (LASSO) — q-mesh: 9x6x19, supercell: 2x1x3

../../_images/fig_kappa13006.png

(a) Temperature-dependent lattice thermal conductivity

../../_images/fig_kappa_vs_grain_size6989.png

(b) Peierls lattice thermal conductivity w.r.t grain size

Phonon lifetime and scattering rates

../../_images/fig_lifetime6842.png

(a) Phonon lifetime due to phonon-phonon scattering

../../_images/fig_scat_rates6841.png

(b) Phonon scattering rates

Cumulative and spectral thermal conductivity

../../_images/fig_cumu_frequency6842.png

(a) Spectral and cumulative thermal conductivity w.r.t frequency

../../_images/fig_cumu_mfp6841.png

(b) Spectral and cumulative thermal conductivity w.r.t MFP

Force constants

../../_images/fig_fc215531.png

(a) Force constants w.r.t atomic distance

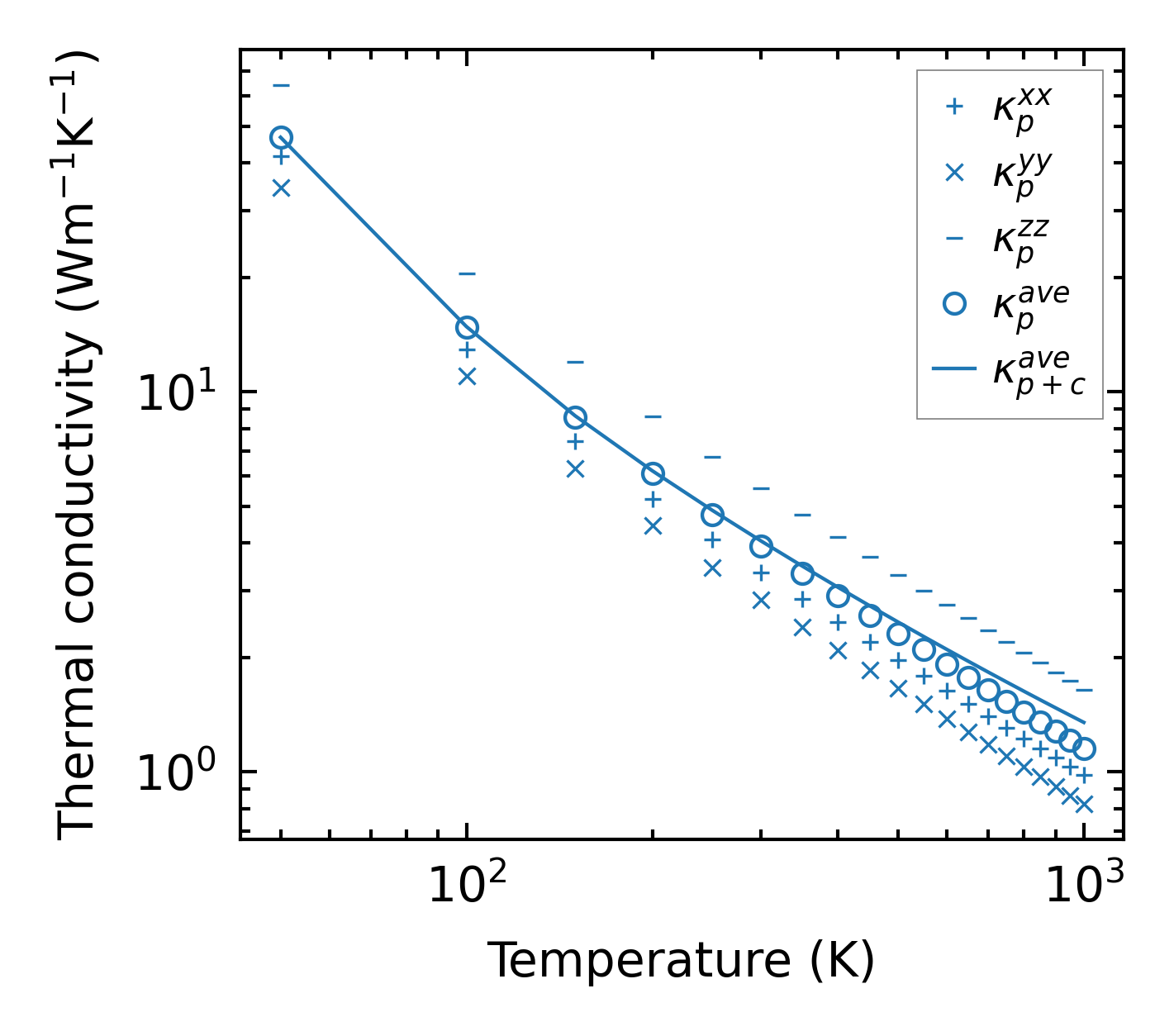
Summary

../../_images/fig_kappa13007.png

(a) Temperature-dependent lattice thermal conductivity

../../_images/fig_times26250.png

(b) Computation time