mp-1189729/Ba2SmGaTe5/anharm

Harmonic properties

../../_images/fig_bandos_pr15931.png

(a) Phonon dispersion with participation ratio and DOS

../../_images/fig_thermo15930.png

(b) Thermodynamic properties

Grüneisen parameters

../../_images/fig_gru_all6904.png

(a) Grüneisen parameters

../../_images/fig_gruneisen6904.png

(b) Phonon dispersion with Grüneisen parameters

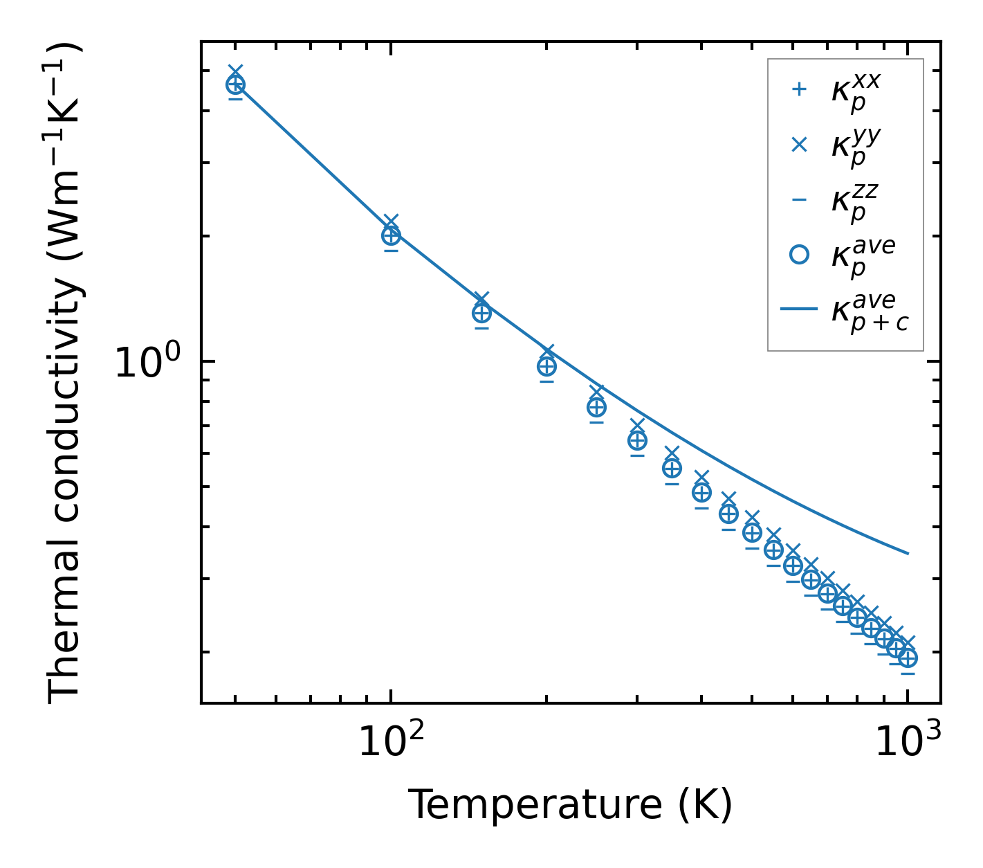
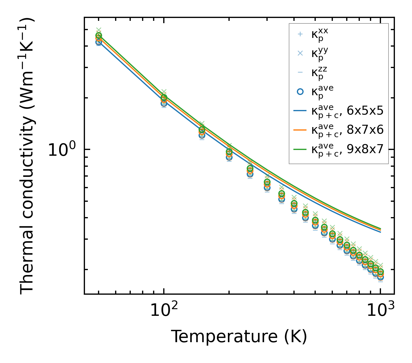
Thermal conductivity

3-phonon (LASSO) — q-mesh: 9x8x7, supercell: 2x2x2

../../_images/fig_kappa12999.png

(a) Temperature-dependent lattice thermal conductivity

../../_images/fig_kappa_vs_grain_size6985.png

(b) Peierls lattice thermal conductivity w.r.t grain size

Phonon lifetime and scattering rates

../../_images/fig_lifetime6838.png

(a) Phonon lifetime due to phonon-phonon scattering

../../_images/fig_scat_rates6837.png

(b) Phonon scattering rates

Cumulative and spectral thermal conductivity

../../_images/fig_cumu_frequency6838.png

(a) Spectral and cumulative thermal conductivity w.r.t frequency

../../_images/fig_cumu_mfp6837.png

(b) Spectral and cumulative thermal conductivity w.r.t MFP

Force constants

../../_images/fig_fc215526.png

(a) Force constants w.r.t atomic distance

Summary

../../_images/fig_kappa13000.png

(a) Temperature-dependent lattice thermal conductivity

../../_images/fig_times26244.png

(b) Computation time