mp-1189005-2/Tb6NiBr10/anharm

Equation of state

../../_images/fig_bm7691.png

(a) Equation of state

Harmonic properties

../../_images/fig_bandos_pr15893.png

(a) Phonon dispersion with participation ratio and DOS

../../_images/fig_bandos20307.png

(b) Phonon dispersion and DOS

../../_images/fig_thermo15892.png

(c) Thermodynamic properties

Grüneisen parameters

../../_images/fig_gru_all6884.png

(a) Grüneisen parameters

../../_images/fig_gruneisen6884.png

(b) Phonon dispersion with Grüneisen parameters

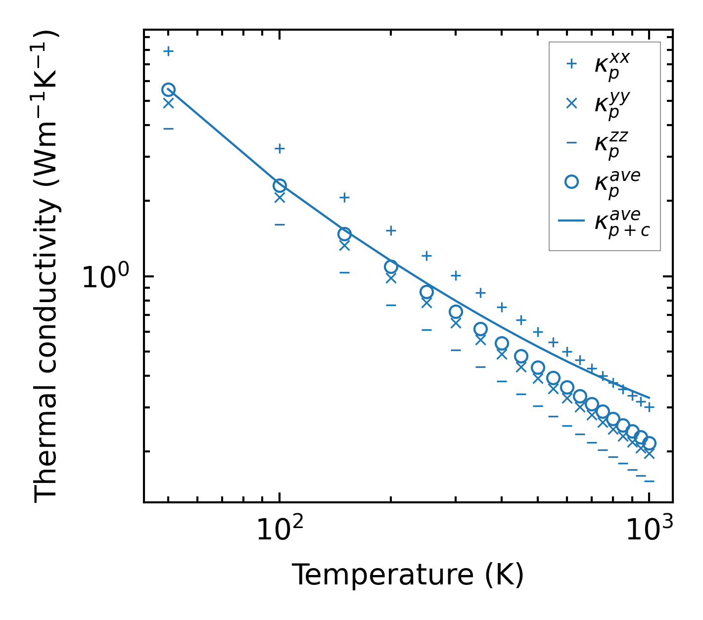
Thermal conductivity

3-phonon (LASSO), supercell 3x2x2 — q-mesh: 10x8x8, supercell: 3x2x2

../../_images/fig_kappa12963.png

(a) Temperature-dependent lattice thermal conductivity

../../_images/fig_kappa_vs_grain_size6964.png

(b) Peierls lattice thermal conductivity w.r.t grain size

Phonon lifetime and scattering rates

../../_images/fig_lifetime6818.png

(a) Phonon lifetime due to phonon-phonon scattering

../../_images/fig_scat_rates6817.png

(b) Phonon scattering rates

Cumulative and spectral thermal conductivity

../../_images/fig_cumu_frequency6818.png

(a) Spectral and cumulative thermal conductivity w.r.t frequency

../../_images/fig_cumu_mfp6817.png

(b) Spectral and cumulative thermal conductivity w.r.t MFP

Force constants

../../_images/fig_fc215488.png

(a) Force constants w.r.t atomic distance

Summary

../../_images/fig_times26189.png

(a) Computation time