mp-1189817/CsNaC2/anharm

Harmonic properties

../../_images/fig_bandos_pr15941.png

(a) Phonon dispersion with participation ratio and DOS

../../_images/fig_thermo15940.png

(b) Thermodynamic properties

Grüneisen parameters

../../_images/fig_gru_all6912.png

(a) Grüneisen parameters

../../_images/fig_gruneisen6912.png

(b) Phonon dispersion with Grüneisen parameters

Thermal conductivity

3-phonon (LASSO) — q-mesh: 8x10x11, supercell: 2x2x2

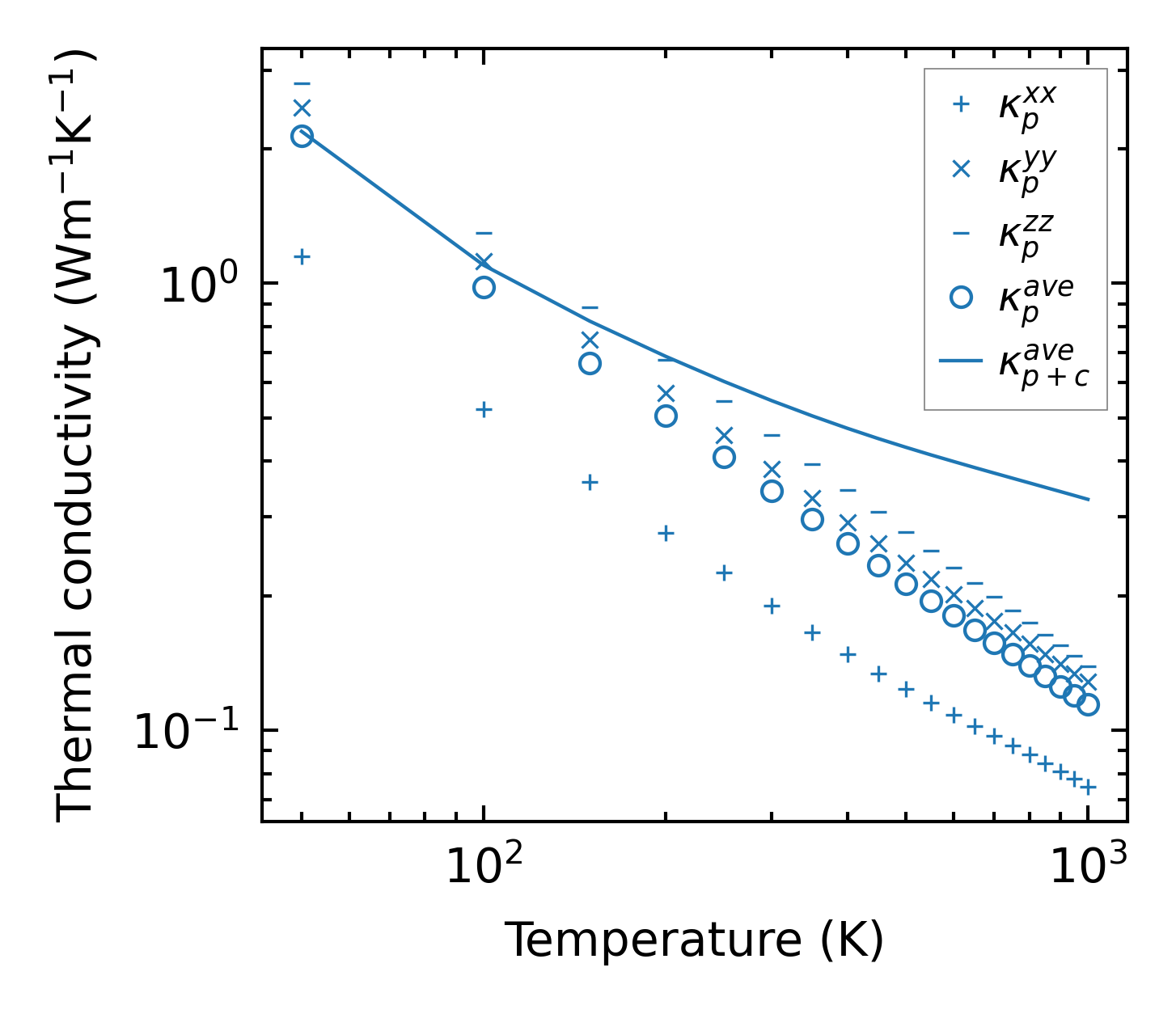
../../_images/fig_kappa13014.png

(a) Temperature-dependent lattice thermal conductivity

../../_images/fig_kappa_vs_grain_size6993.png

(b) Peierls lattice thermal conductivity w.r.t grain size

Phonon lifetime and scattering rates

../../_images/fig_lifetime6846.png

(a) Phonon lifetime due to phonon-phonon scattering

../../_images/fig_scat_rates6845.png

(b) Phonon scattering rates

Cumulative and spectral thermal conductivity

../../_images/fig_cumu_frequency6846.png

(a) Spectral and cumulative thermal conductivity w.r.t frequency

../../_images/fig_cumu_mfp6845.png

(b) Spectral and cumulative thermal conductivity w.r.t MFP

Force constants

../../_images/fig_fc215536.png

(a) Force constants w.r.t atomic distance

Summary

../../_images/fig_kappa13015.png

(a) Temperature-dependent lattice thermal conductivity

../../_images/fig_times26255.png

(b) Computation time