mp-1189020/UC2O7/harm

Harmonic properties

../../_images/fig_bandos_pr15895.png

(a) Phonon dispersion with participation ratio and DOS

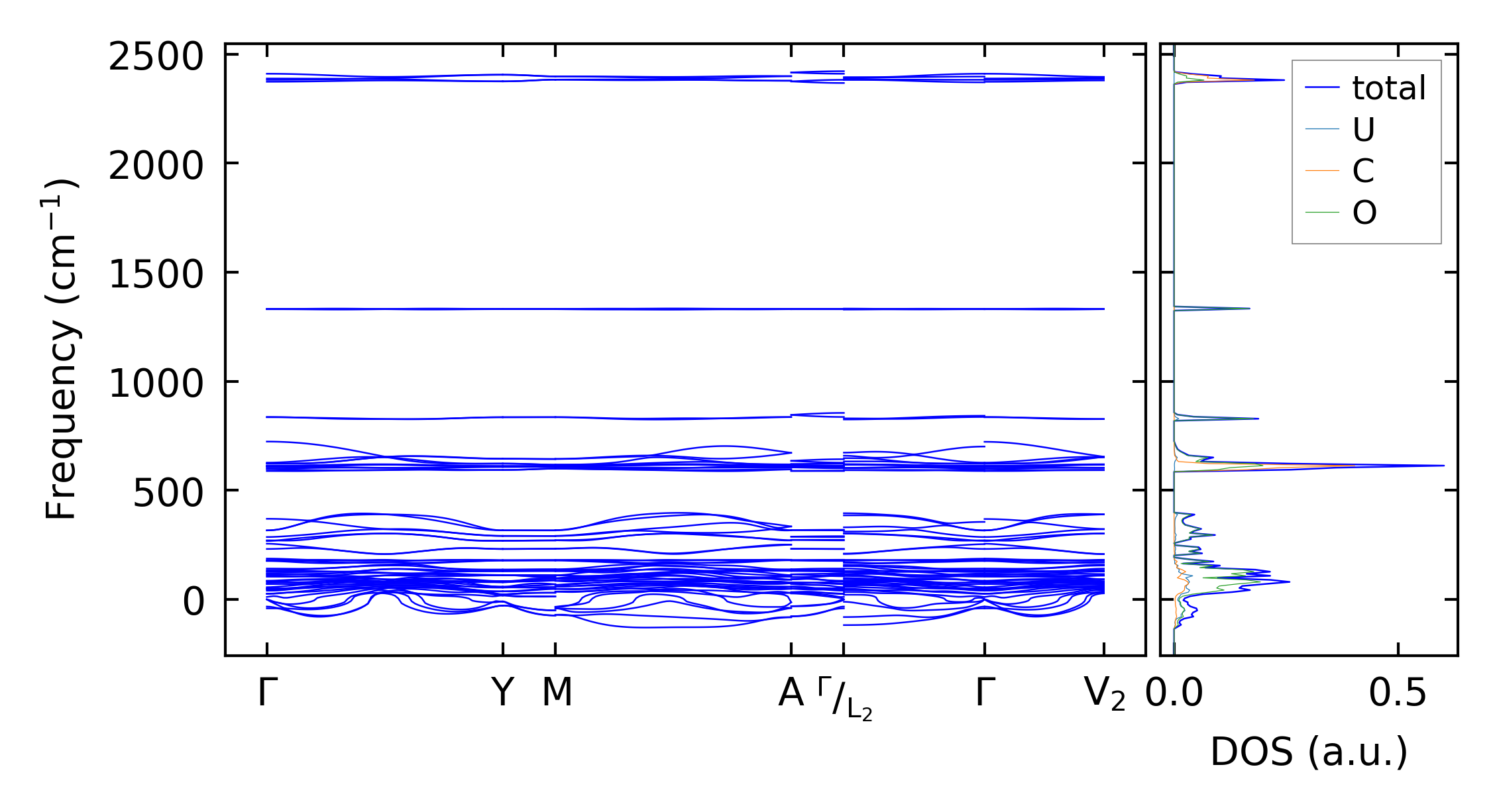
../../_images/fig_bandos20309.png

(b) Phonon dispersion and DOS

../../_images/fig_thermo15894.png

(c) Thermodynamic properties

Force constants

../../_images/fig_fc215490.png

(a) Force constants w.r.t atomic distance

Summary

../../_images/fig_times26191.png

(a) Computation time