mp-1189125/Lu2Se3/anharm

Harmonic properties

../../_images/fig_bandos_pr15902.png

(a) Phonon dispersion with participation ratio and DOS

../../_images/fig_thermo15901.png

(b) Thermodynamic properties

Grüneisen parameters

../../_images/fig_gru_all6887.png

(a) Grüneisen parameters

../../_images/fig_gruneisen6887.png

(b) Phonon dispersion with Grüneisen parameters

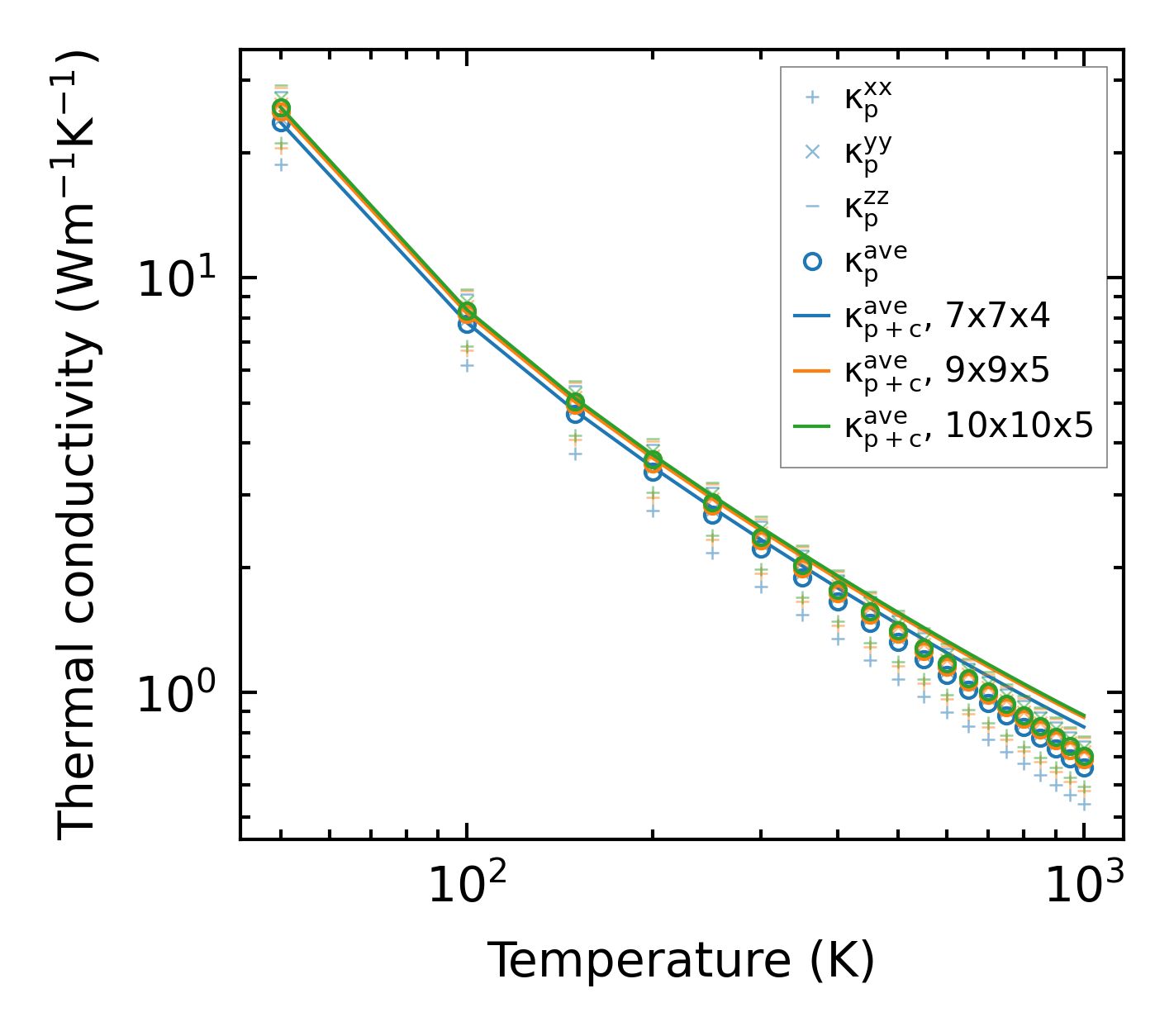
Thermal conductivity

3-phonon (LASSO) — q-mesh: 10x10x5, supercell: 2x1x1

../../_images/fig_kappa12967.png

(a) Temperature-dependent lattice thermal conductivity

../../_images/fig_kappa_vs_grain_size6967.png

(b) Peierls lattice thermal conductivity w.r.t grain size

Phonon lifetime and scattering rates

../../_images/fig_lifetime6821.png

(a) Phonon lifetime due to phonon-phonon scattering

../../_images/fig_scat_rates6820.png

(b) Phonon scattering rates

Cumulative and spectral thermal conductivity

../../_images/fig_cumu_frequency6821.png

(a) Spectral and cumulative thermal conductivity w.r.t frequency

../../_images/fig_cumu_mfp6820.png

(b) Spectral and cumulative thermal conductivity w.r.t MFP

Force constants

../../_images/fig_fc215497.png

(a) Force constants w.r.t atomic distance

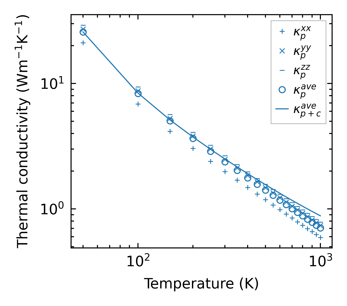
Summary

../../_images/fig_kappa12968.png

(a) Temperature-dependent lattice thermal conductivity

../../_images/fig_times26199.png

(b) Computation time