mp-1189054/Sr3Ga2As4/anharm

Harmonic properties

../../_images/fig_bandos_pr15898.png

(a) Phonon dispersion with participation ratio and DOS

../../_images/fig_thermo15897.png

(b) Thermodynamic properties

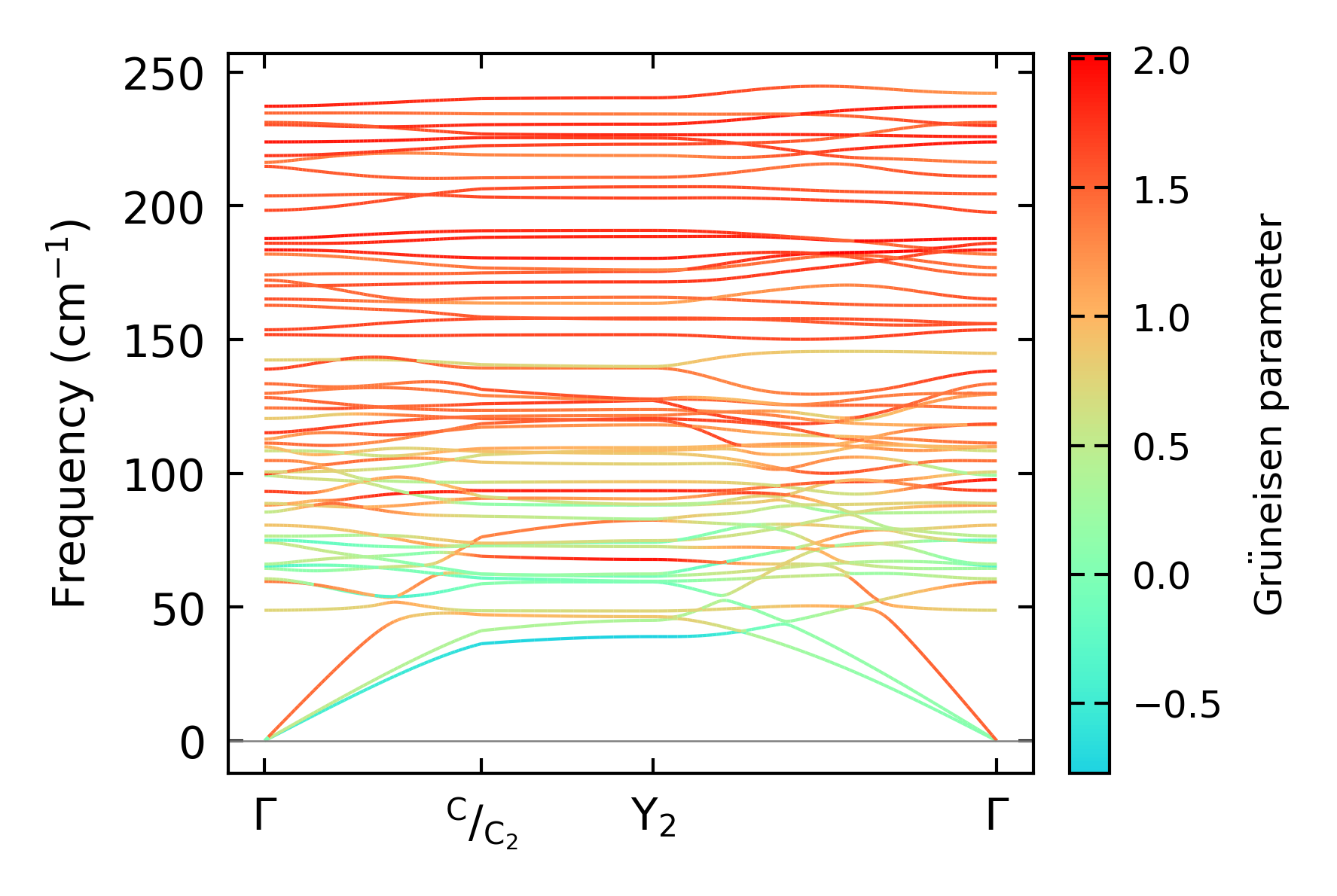
Grüneisen parameters

../../_images/fig_gru_all6885.png

(a) Grüneisen parameters

../../_images/fig_gruneisen6885.png

(b) Phonon dispersion with Grüneisen parameters

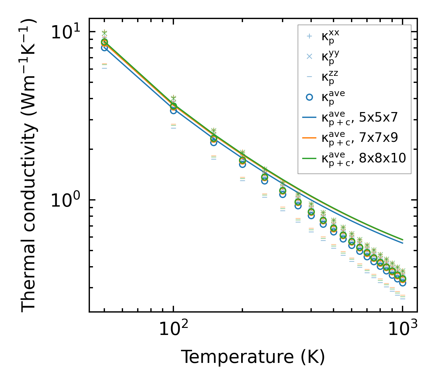
Thermal conductivity

3-phonon (LASSO) — q-mesh: 8x8x10, supercell: 1x2x2

../../_images/fig_kappa12964.png

(a) Temperature-dependent lattice thermal conductivity

../../_images/fig_kappa_vs_grain_size6965.png

(b) Peierls lattice thermal conductivity w.r.t grain size

Phonon lifetime and scattering rates

../../_images/fig_lifetime6819.png

(a) Phonon lifetime due to phonon-phonon scattering

../../_images/fig_scat_rates6818.png

(b) Phonon scattering rates

Cumulative and spectral thermal conductivity

../../_images/fig_cumu_frequency6819.png

(a) Spectral and cumulative thermal conductivity w.r.t frequency

../../_images/fig_cumu_mfp6818.png

(b) Spectral and cumulative thermal conductivity w.r.t MFP

Force constants

../../_images/fig_fc215493.png

(a) Force constants w.r.t atomic distance

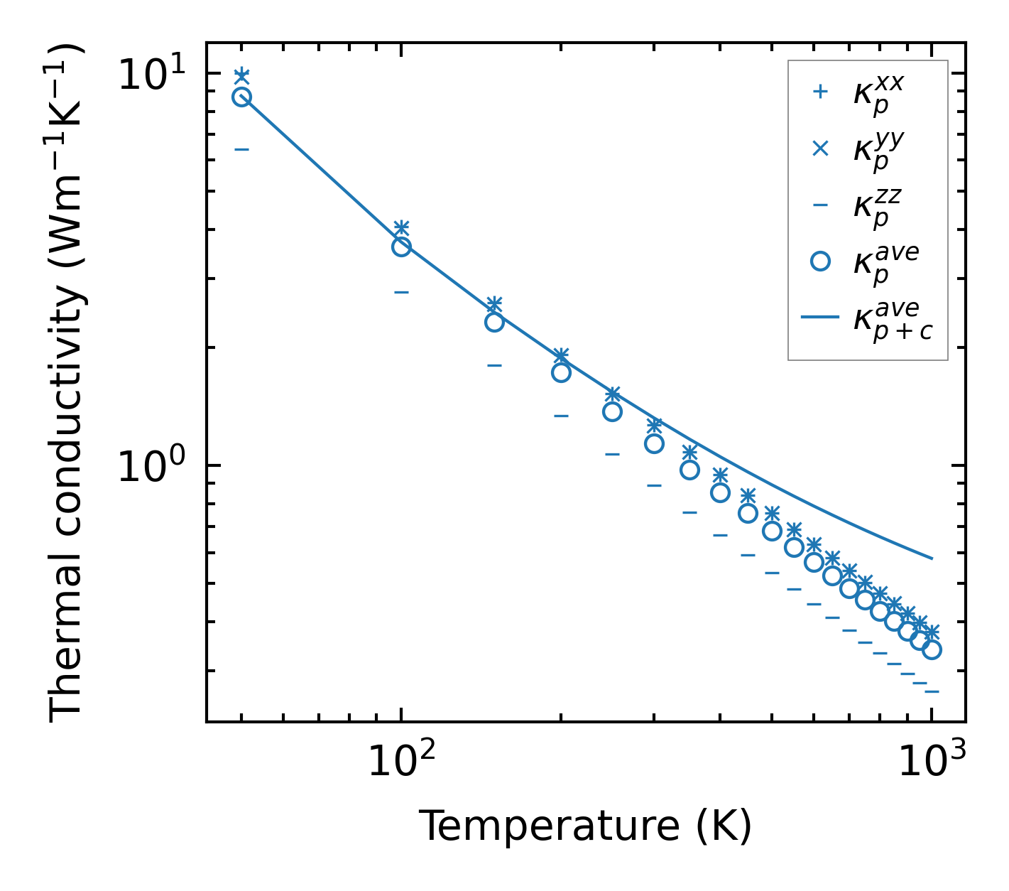
Summary

../../_images/fig_kappa12965.png

(a) Temperature-dependent lattice thermal conductivity

../../_images/fig_times26194.png

(b) Computation time