mp-1189199/Lu3Sb4Au3/anharm

Harmonic properties

../../_images/fig_bandos_pr15908.png

(a) Phonon dispersion with participation ratio and DOS

../../_images/fig_thermo15907.png

(b) Thermodynamic properties

Grüneisen parameters

../../_images/fig_gru_all6891.png

(a) Grüneisen parameters

../../_images/fig_gruneisen6891.png

(b) Phonon dispersion with Grüneisen parameters

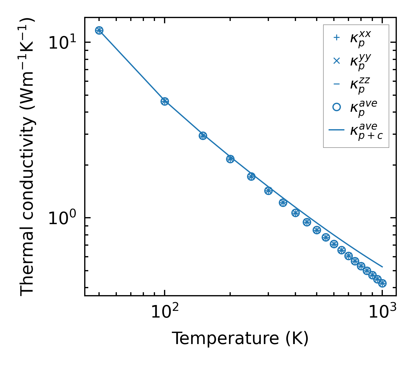
Thermal conductivity

3-phonon (LASSO) — q-mesh: 9x9x9, supercell: 1x1x1

../../_images/fig_kappa12974.png

(a) Temperature-dependent lattice thermal conductivity

../../_images/fig_kappa_vs_grain_size6971.png

(b) Peierls lattice thermal conductivity w.r.t grain size

Phonon lifetime and scattering rates

../../_images/fig_lifetime6825.png

(a) Phonon lifetime due to phonon-phonon scattering

../../_images/fig_scat_rates6824.png

(b) Phonon scattering rates

Cumulative and spectral thermal conductivity

../../_images/fig_cumu_frequency6825.png

(a) Spectral and cumulative thermal conductivity w.r.t frequency

../../_images/fig_cumu_mfp6824.png

(b) Spectral and cumulative thermal conductivity w.r.t MFP

Force constants

../../_images/fig_fc215503.png

(a) Force constants w.r.t atomic distance

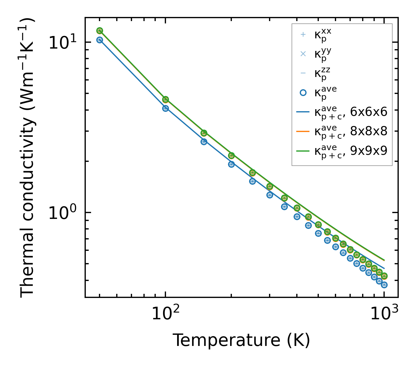
Summary

../../_images/fig_kappa12975.png

(a) Temperature-dependent lattice thermal conductivity

../../_images/fig_times26206.png

(b) Computation time