mp-1189528/Ca2ScSbO6/anharm

Harmonic properties

../../_images/fig_bandos_pr15926.png

(a) Phonon dispersion with participation ratio and DOS

../../_images/fig_thermo15925.png

(b) Thermodynamic properties

Grüneisen parameters

../../_images/fig_gru_all6902.png

(a) Grüneisen parameters

../../_images/fig_gruneisen6902.png

(b) Phonon dispersion with Grüneisen parameters

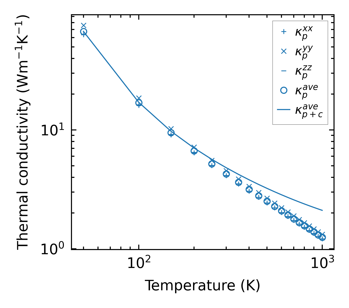
Thermal conductivity

3-phonon (LASSO) — q-mesh: 14x13x8, supercell: 2x2x1

../../_images/fig_kappa12994.png

(a) Temperature-dependent lattice thermal conductivity

../../_images/fig_kappa_vs_grain_size6982.png

(b) Peierls lattice thermal conductivity w.r.t grain size

Phonon lifetime and scattering rates

../../_images/fig_lifetime6836.png

(a) Phonon lifetime due to phonon-phonon scattering

../../_images/fig_scat_rates6835.png

(b) Phonon scattering rates

Cumulative and spectral thermal conductivity

../../_images/fig_cumu_frequency6836.png

(a) Spectral and cumulative thermal conductivity w.r.t frequency

../../_images/fig_cumu_mfp6835.png

(b) Spectral and cumulative thermal conductivity w.r.t MFP

Force constants

../../_images/fig_fc215521.png

(a) Force constants w.r.t atomic distance

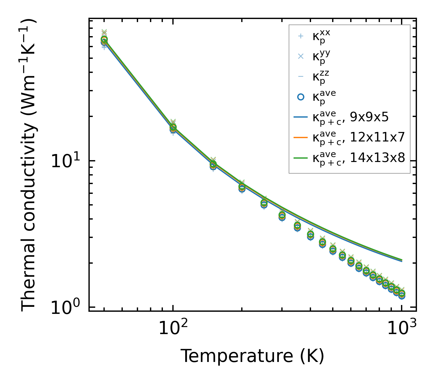
Summary

../../_images/fig_kappa12995.png

(a) Temperature-dependent lattice thermal conductivity

../../_images/fig_times26233.png

(b) Computation time