mp-997618/BSb/anharm

Harmonic properties

../../_images/fig_bandos_pr736.png

(a) Phonon dispersion with participation ratio and DOS

../../_images/fig_thermo736.png

(b) Thermodynamic properties

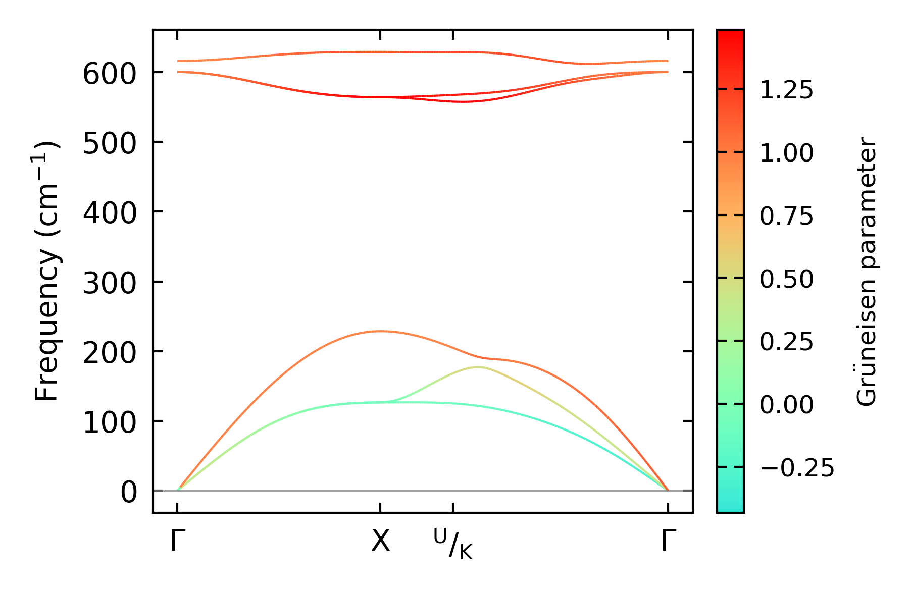
Grüneisen parameters

../../_images/fig_gru_all491.png

(a) Grüneisen parameters

../../_images/fig_gruneisen491.png

(b) Phonon dispersion with Grüneisen parameters

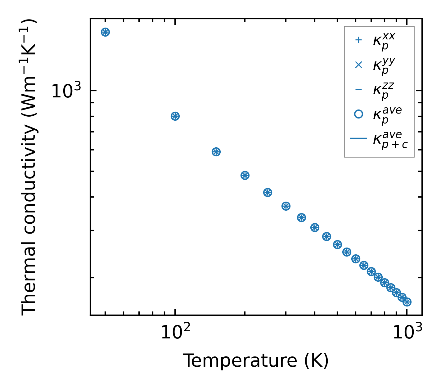
Thermal conductivity

3-phonon — q-mesh: 21x21x21, supercell: 2x2x2

../../_images/fig_kappa955.png

(a) Temperature-dependent lattice thermal conductivity

../../_images/fig_kappa_vs_grain_size498.png

(b) Peierls lattice thermal conductivity w.r.t grain size

Phonon lifetime and scattering rates

../../_images/fig_lifetime489.png

(a) Phonon lifetime due to phonon-phonon scattering

../../_images/fig_scat_rates488.png

(b) Phonon scattering rates

Cumulative and spectral thermal conductivity

../../_images/fig_cumu_frequency489.png

(a) Spectral and cumulative thermal conductivity w.r.t frequency

../../_images/fig_cumu_mfp489.png

(b) Spectral and cumulative thermal conductivity w.r.t MFP

Force constants

../../_images/fig_fc396.png

(a) Force constants w.r.t atomic distance

Summary

../../_images/fig_kappa956.png

(a) Temperature-dependent lattice thermal conductivity

../../_images/fig_times1058.png

(b) Computation time