mp-997570/H6CIN/anharm

Harmonic properties

../../_images/fig_bandos_pr963.png

(a) Phonon dispersion with participation ratio and DOS

../../_images/fig_thermo963.png

(b) Thermodynamic properties

Grüneisen parameters

../../_images/fig_gru_all586.png

(a) Grüneisen parameters

../../_images/fig_gruneisen586.png

(b) Phonon dispersion with Grüneisen parameters

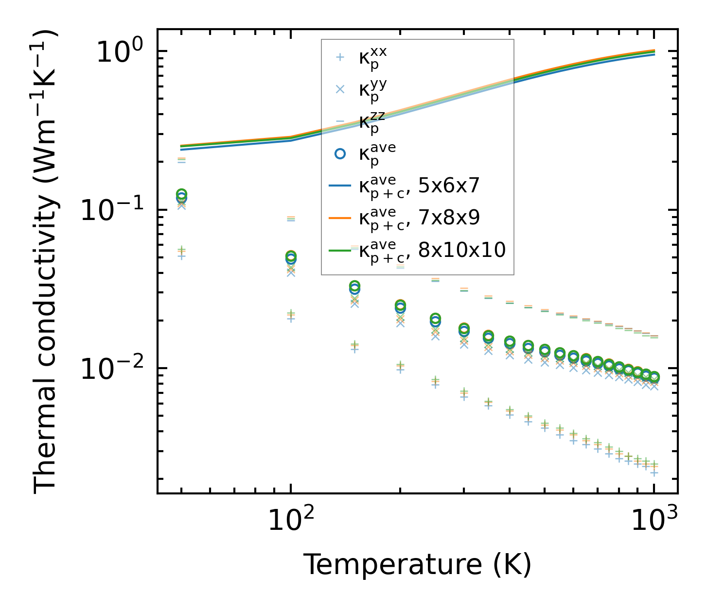
Thermal conductivity

3-phonon (LASSO) — q-mesh: 8x10x10, supercell: 1x2x2

../../_images/fig_kappa1140.png

(a) Temperature-dependent lattice thermal conductivity

../../_images/fig_kappa_vs_grain_size594.png

(b) Peierls lattice thermal conductivity w.r.t grain size

Phonon lifetime and scattering rates

../../_images/fig_lifetime584.png

(a) Phonon lifetime due to phonon-phonon scattering

../../_images/fig_scat_rates583.png

(b) Phonon scattering rates

Cumulative and spectral thermal conductivity

../../_images/fig_cumu_frequency584.png

(a) Spectral and cumulative thermal conductivity w.r.t frequency

../../_images/fig_cumu_mfp584.png

(b) Spectral and cumulative thermal conductivity w.r.t MFP

Force constants

../../_images/fig_fc2854.png

(a) Force constants w.r.t atomic distance

Summary

../../_images/fig_kappa1141.png

(a) Temperature-dependent lattice thermal conductivity

../../_images/fig_times1438.png

(b) Computation time