mp-997094/SrAuO2/anharm

Harmonic properties

../../_images/fig_bandos_pr953.png

(a) Phonon dispersion with participation ratio and DOS

../../_images/fig_thermo953.png

(b) Thermodynamic properties

Grüneisen parameters

../../_images/fig_gru_all577.png

(a) Grüneisen parameters

../../_images/fig_gruneisen577.png

(b) Phonon dispersion with Grüneisen parameters

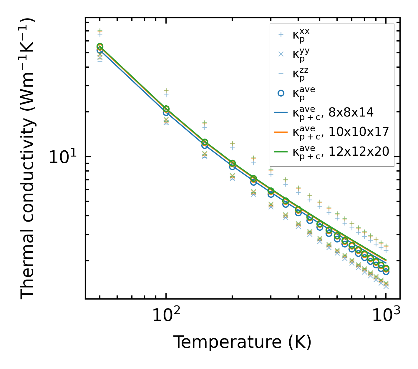
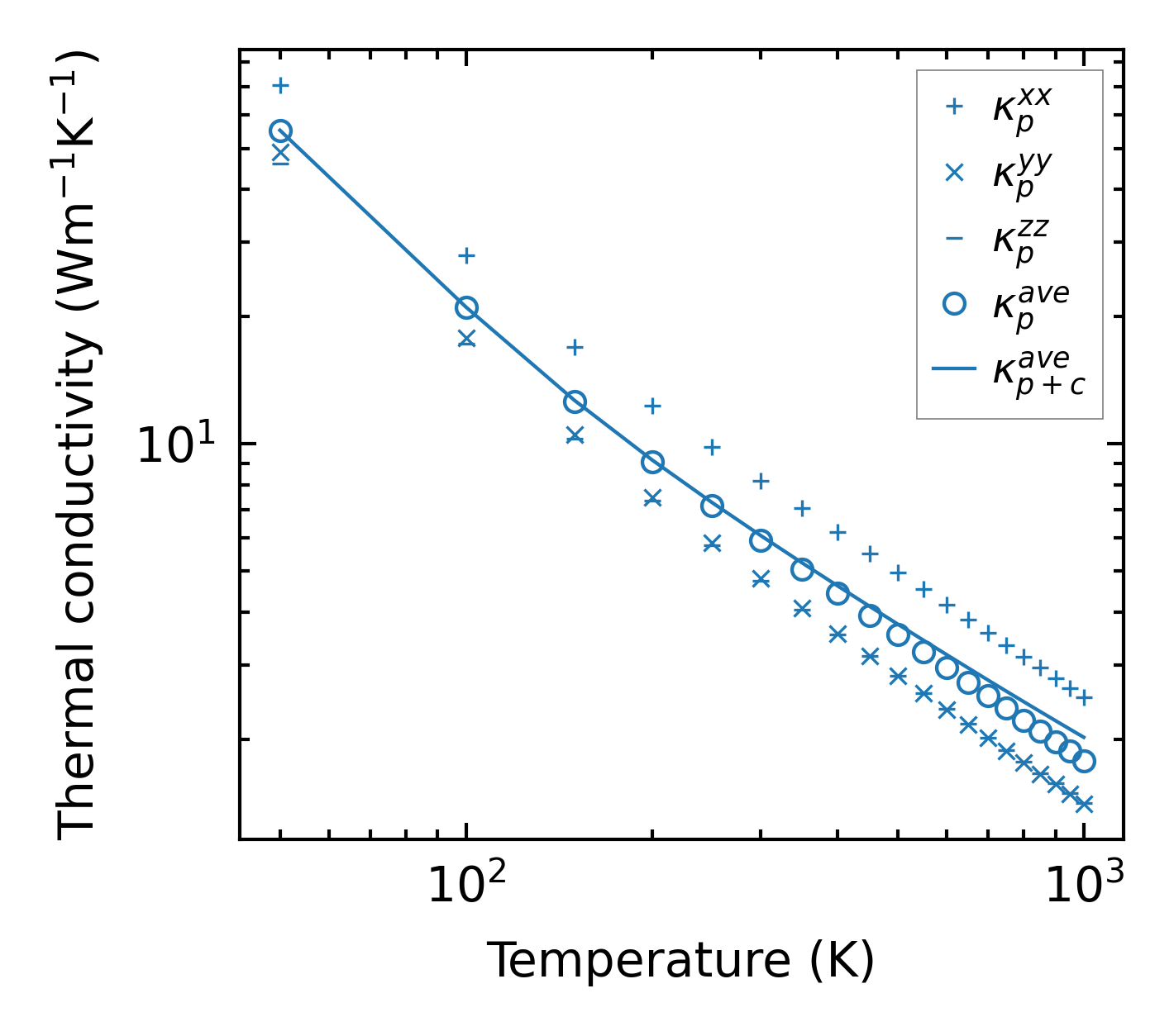
Thermal conductivity

3-phonon (LASSO) — q-mesh: 12x12x20, supercell: 2x1x3

../../_images/fig_kappa1123.png

(a) Temperature-dependent lattice thermal conductivity

../../_images/fig_kappa_vs_grain_size584.png

(b) Peierls lattice thermal conductivity w.r.t grain size

Phonon lifetime and scattering rates

../../_images/fig_lifetime575.png

(a) Phonon lifetime due to phonon-phonon scattering

../../_images/fig_scat_rates574.png

(b) Phonon scattering rates

Cumulative and spectral thermal conductivity

../../_images/fig_cumu_frequency575.png

(a) Spectral and cumulative thermal conductivity w.r.t frequency

../../_images/fig_cumu_mfp575.png

(b) Spectral and cumulative thermal conductivity w.r.t MFP

Force constants

../../_images/fig_fc2844.png

(a) Force constants w.r.t atomic distance

Summary

../../_images/fig_kappa1124.png

(a) Temperature-dependent lattice thermal conductivity

../../_images/fig_times1421.png

(b) Computation time