mp-997088/KAgO2/anharm

Harmonic properties

../../_images/fig_bandos_pr949.png

(a) Phonon dispersion with participation ratio and DOS

../../_images/fig_thermo949.png

(b) Thermodynamic properties

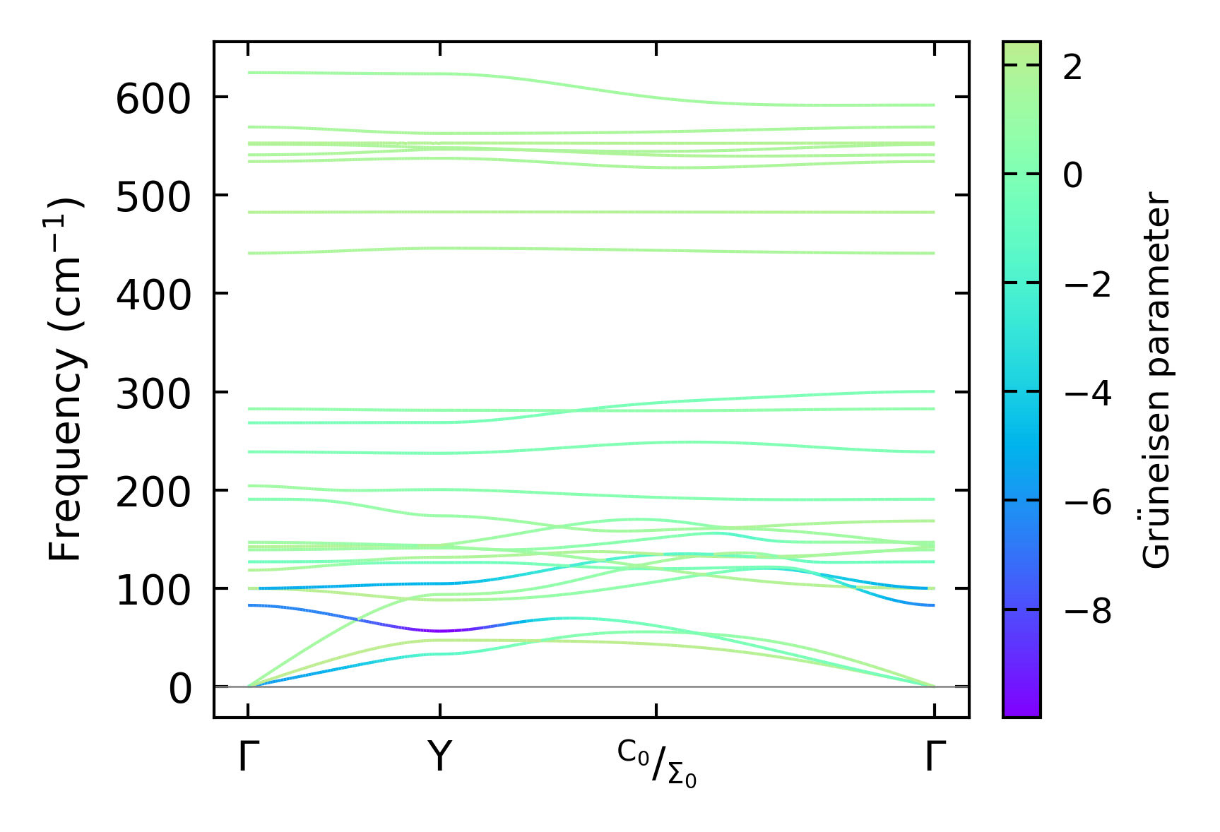
Grüneisen parameters

../../_images/fig_gru_all575.png

(a) Grüneisen parameters

../../_images/fig_gruneisen575.png

(b) Phonon dispersion with Grüneisen parameters

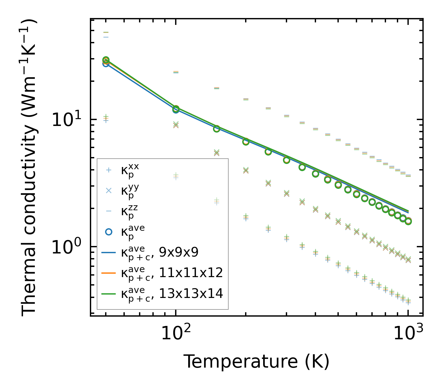
Thermal conductivity

3-phonon (LASSO) — q-mesh: 13x13x14, supercell: 3x1x3

../../_images/fig_kappa1119.png

(a) Temperature-dependent lattice thermal conductivity

../../_images/fig_kappa_vs_grain_size582.png

(b) Peierls lattice thermal conductivity w.r.t grain size

Phonon lifetime and scattering rates

../../_images/fig_lifetime573.png

(a) Phonon lifetime due to phonon-phonon scattering

../../_images/fig_scat_rates572.png

(b) Phonon scattering rates

Cumulative and spectral thermal conductivity

../../_images/fig_cumu_frequency573.png

(a) Spectral and cumulative thermal conductivity w.r.t frequency

../../_images/fig_cumu_mfp573.png

(b) Spectral and cumulative thermal conductivity w.r.t MFP

Force constants

../../_images/fig_fc2840.png

(a) Force constants w.r.t atomic distance

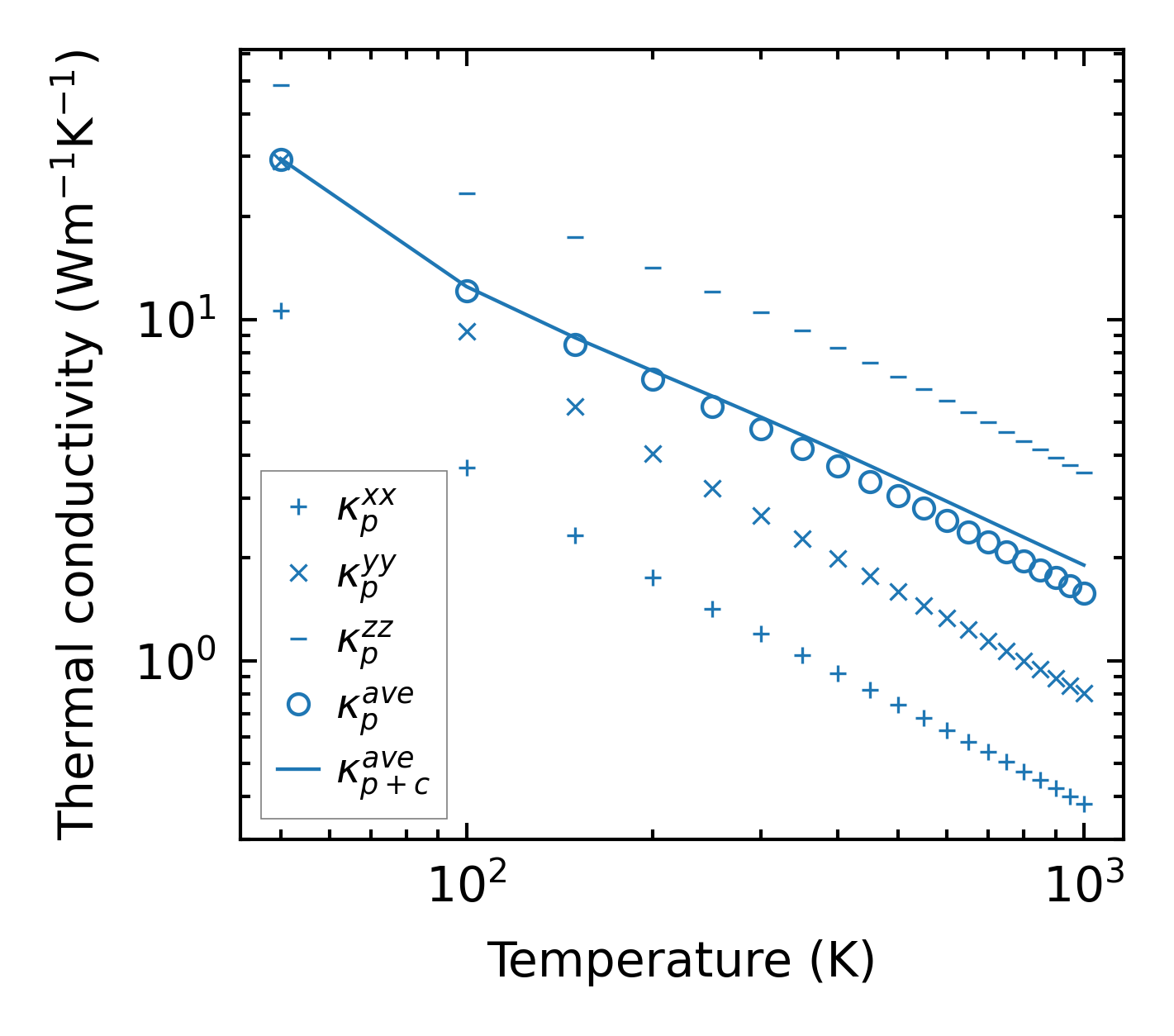
Summary

../../_images/fig_kappa1120.png

(a) Temperature-dependent lattice thermal conductivity

../../_images/fig_times1417.png

(b) Computation time