mp-997009-2/BaAuO2/anharm

Equation of state

../../_images/fig_bm334.png

(a) Equation of state

Harmonic properties

../../_images/fig_bandos_pr920.png

(a) Phonon dispersion with participation ratio and DOS

../../_images/fig_bandos859.png

(b) Phonon dispersion and DOS

../../_images/fig_thermo920.png

(c) Thermodynamic properties

Grüneisen parameters

../../_images/fig_gru_all566.png

(a) Grüneisen parameters

../../_images/fig_gruneisen566.png

(b) Phonon dispersion with Grüneisen parameters

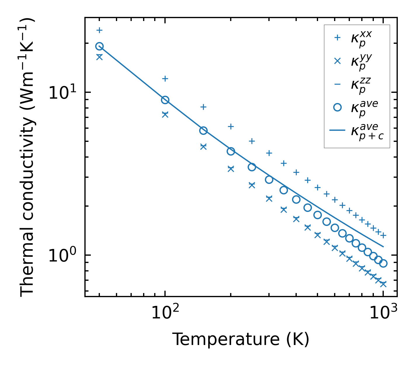
Thermal conductivity

3-phonon (LASSO) — q-mesh: 11x11x18, supercell: 2x1x3

../../_images/fig_kappa1101.png

(a) Temperature-dependent lattice thermal conductivity

../../_images/fig_kappa_vs_grain_size573.png

(b) Peierls lattice thermal conductivity w.r.t grain size

Phonon lifetime and scattering rates

../../_images/fig_lifetime564.png

(a) Phonon lifetime due to phonon-phonon scattering

../../_images/fig_scat_rates563.png

(b) Phonon scattering rates

Cumulative and spectral thermal conductivity

../../_images/fig_cumu_frequency564.png

(a) Spectral and cumulative thermal conductivity w.r.t frequency

../../_images/fig_cumu_mfp564.png

(b) Spectral and cumulative thermal conductivity w.r.t MFP

Force constants

../../_images/fig_fc2811.png

(a) Force constants w.r.t atomic distance

Summary

../../_images/fig_kappa1102.png

(a) Temperature-dependent lattice thermal conductivity

../../_images/fig_times1379.png

(b) Computation time