mp-997106-2/AgRhO2/anharm

Equation of state

../../_images/fig_bm351.png

(a) Equation of state

Harmonic properties

../../_images/fig_bandos_pr956.png

(a) Phonon dispersion with participation ratio and DOS

../../_images/fig_bandos894.png

(b) Phonon dispersion and DOS

../../_images/fig_thermo956.png

(c) Thermodynamic properties

Grüneisen parameters

../../_images/fig_gru_all580.png

(a) Grüneisen parameters

../../_images/fig_gruneisen580.png

(b) Phonon dispersion with Grüneisen parameters

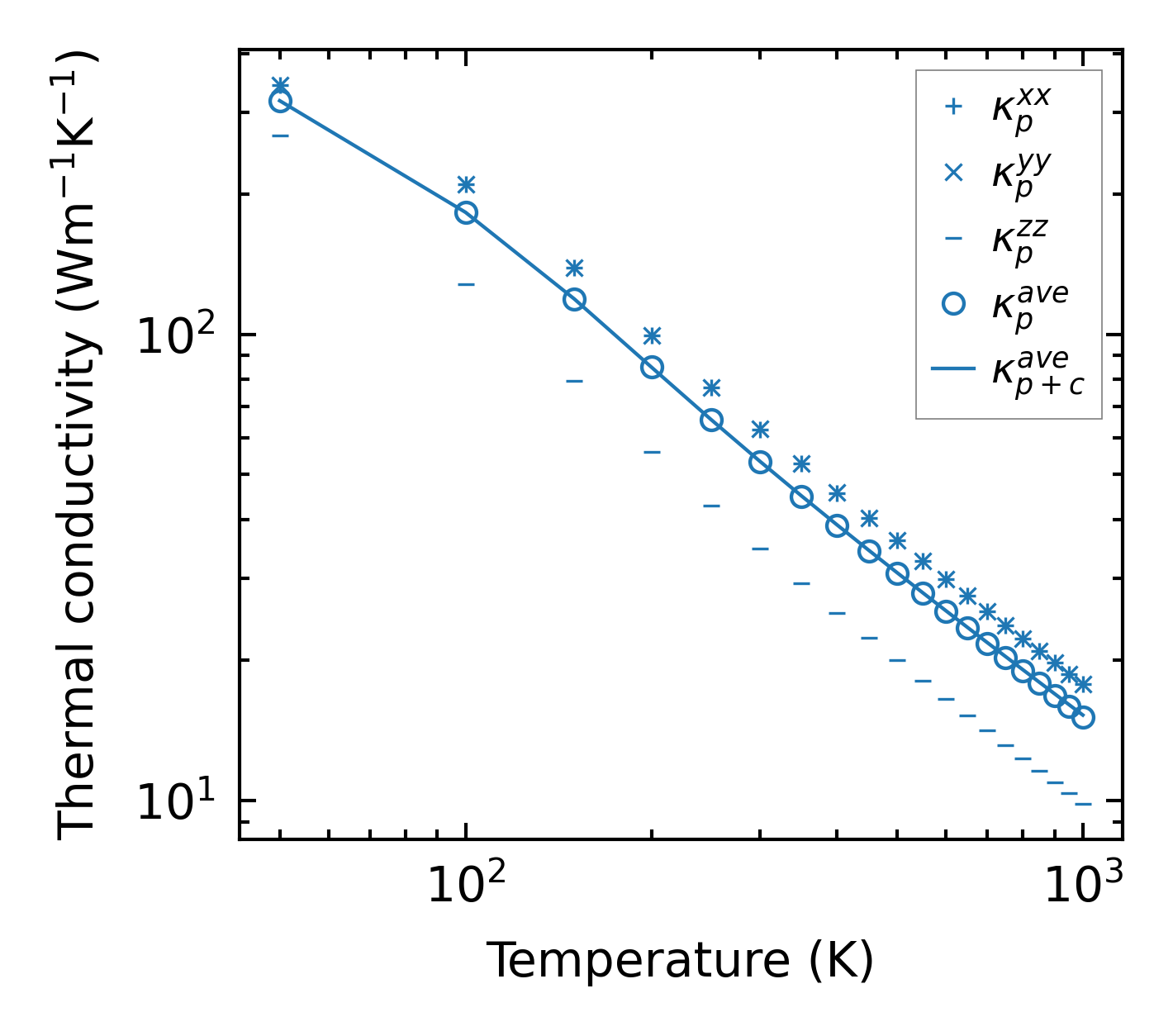
Thermal conductivity

3-phonon (LASSO), supercell 5x5x1 — q-mesh: 24x24x6, supercell: 5x5x1

../../_images/fig_kappa1130.png

(a) Temperature-dependent lattice thermal conductivity

../../_images/fig_kappa_vs_grain_size588.png

(b) Peierls lattice thermal conductivity w.r.t grain size

Phonon lifetime and scattering rates

../../_images/fig_lifetime578.png

(a) Phonon lifetime due to phonon-phonon scattering

../../_images/fig_scat_rates577.png

(b) Phonon scattering rates

Cumulative and spectral thermal conductivity

../../_images/fig_cumu_frequency578.png

(a) Spectral and cumulative thermal conductivity w.r.t frequency

../../_images/fig_cumu_mfp578.png

(b) Spectral and cumulative thermal conductivity w.r.t MFP

Force constants

../../_images/fig_fc2847.png

(a) Force constants w.r.t atomic distance

Summary

../../_images/fig_times1425.png

(a) Computation time