mp-997009/BaAuO2/anharm

Harmonic properties

../../_images/fig_bandos_pr919.png

(a) Phonon dispersion with participation ratio and DOS

../../_images/fig_bandos858.png

(b) Phonon dispersion and DOS

../../_images/fig_thermo919.png

(c) Thermodynamic properties

Grüneisen parameters

../../_images/fig_gru_all565.png

(a) Grüneisen parameters

../../_images/fig_gruneisen565.png

(b) Phonon dispersion with Grüneisen parameters

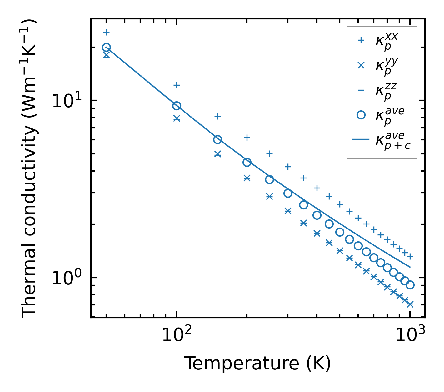
Thermal conductivity

3-phonon (LASSO) — q-mesh: 11x11x18, supercell: 2x1x3

../../_images/fig_kappa1099.png

(a) Temperature-dependent lattice thermal conductivity

../../_images/fig_kappa_vs_grain_size572.png

(b) Peierls lattice thermal conductivity w.r.t grain size

Phonon lifetime and scattering rates

../../_images/fig_lifetime563.png

(a) Phonon lifetime due to phonon-phonon scattering

../../_images/fig_scat_rates562.png

(b) Phonon scattering rates

Cumulative and spectral thermal conductivity

../../_images/fig_cumu_frequency563.png

(a) Spectral and cumulative thermal conductivity w.r.t frequency

../../_images/fig_cumu_mfp563.png

(b) Spectral and cumulative thermal conductivity w.r.t MFP

Force constants

../../_images/fig_fc2810.png

(a) Force constants w.r.t atomic distance

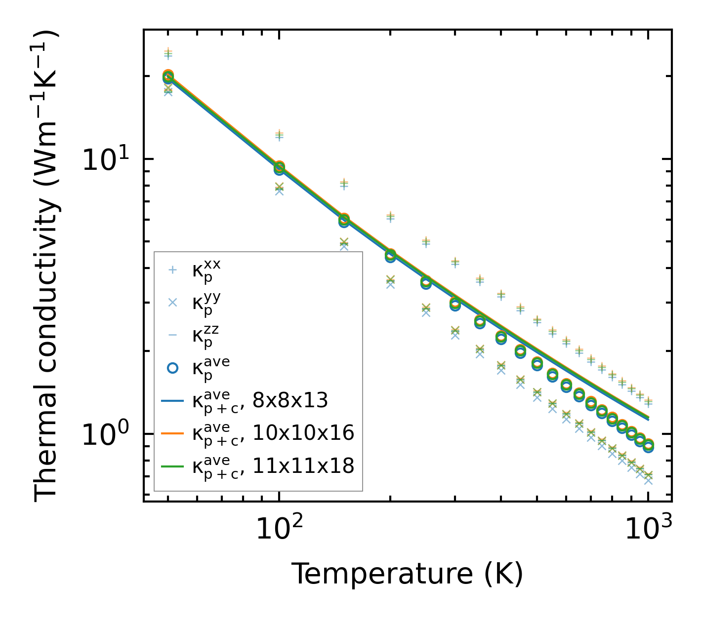
Summary

../../_images/fig_kappa1100.png

(a) Temperature-dependent lattice thermal conductivity

../../_images/fig_times1378.png

(b) Computation time