mp-997082/BiAuO2/anharm

Harmonic properties

../../_images/fig_bandos_pr946.png

(a) Phonon dispersion with participation ratio and DOS

../../_images/fig_thermo946.png

(b) Thermodynamic properties

Grüneisen parameters

../../_images/fig_gru_all572.png

(a) Grüneisen parameters

../../_images/fig_gruneisen572.png

(b) Phonon dispersion with Grüneisen parameters

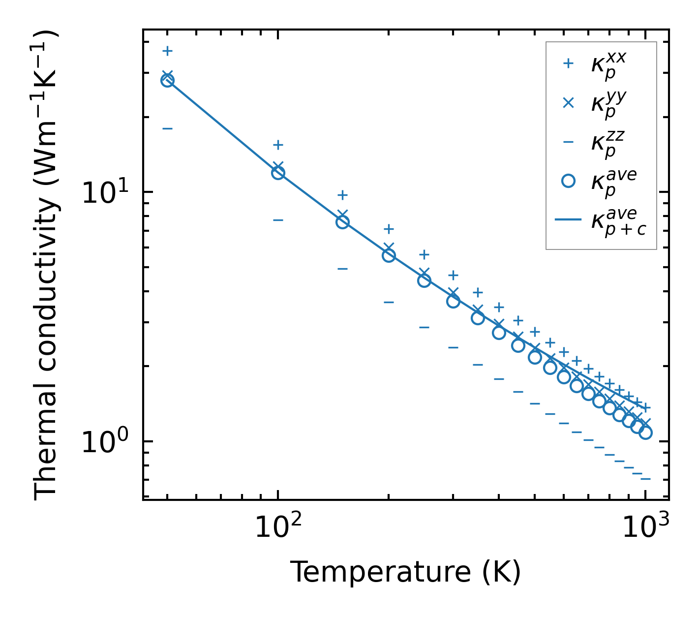
Thermal conductivity

3-phonon (LASSO) — q-mesh: 11x20x11, supercell: 2x4x2

../../_images/fig_kappa1113.png

(a) Temperature-dependent lattice thermal conductivity

../../_images/fig_kappa_vs_grain_size579.png

(b) Peierls lattice thermal conductivity w.r.t grain size

Phonon lifetime and scattering rates

../../_images/fig_lifetime570.png

(a) Phonon lifetime due to phonon-phonon scattering

../../_images/fig_scat_rates569.png

(b) Phonon scattering rates

Cumulative and spectral thermal conductivity

../../_images/fig_cumu_frequency570.png

(a) Spectral and cumulative thermal conductivity w.r.t frequency

../../_images/fig_cumu_mfp570.png

(b) Spectral and cumulative thermal conductivity w.r.t MFP

Force constants

../../_images/fig_fc2837.png

(a) Force constants w.r.t atomic distance

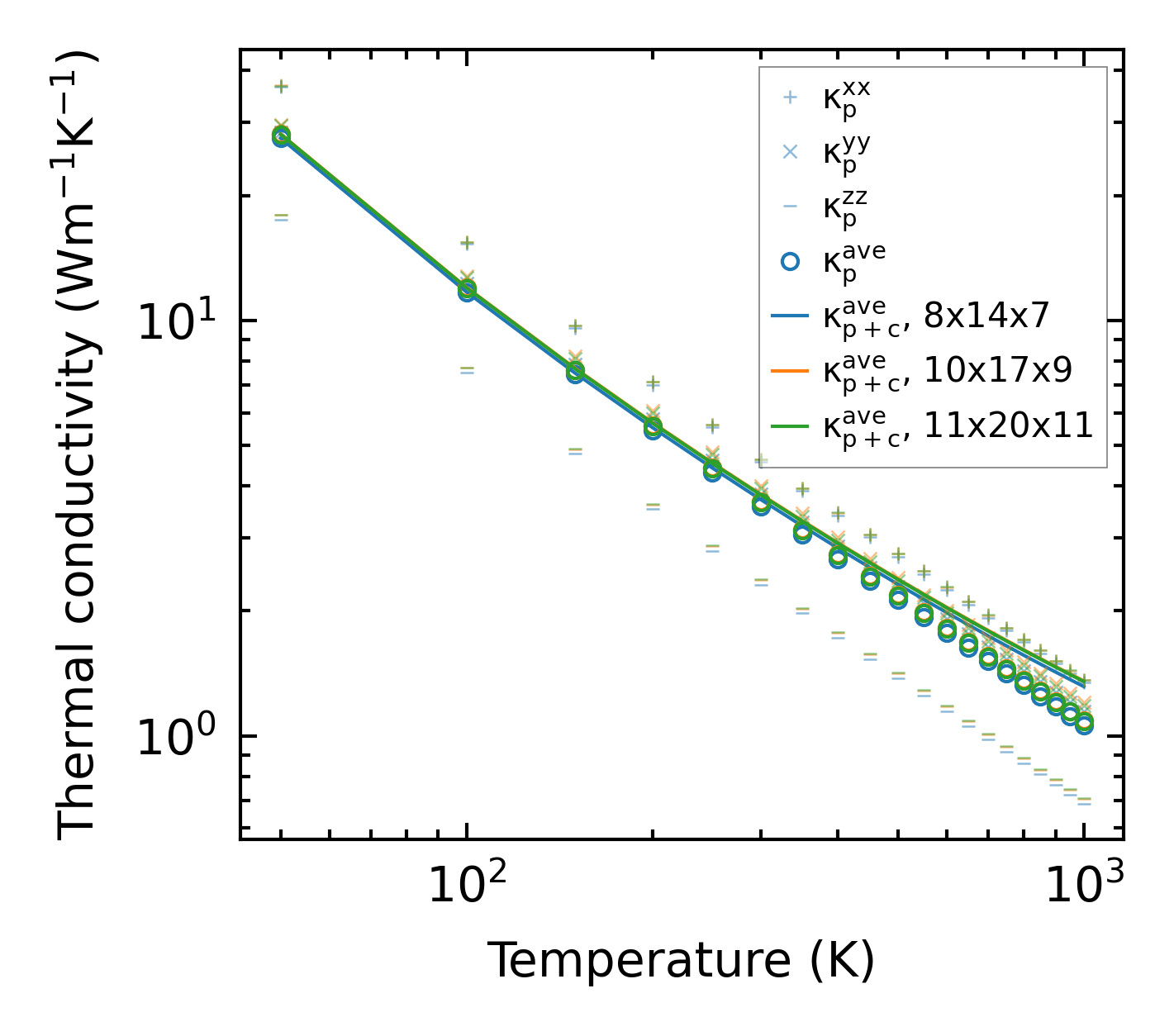
Summary

../../_images/fig_kappa1114.png

(a) Temperature-dependent lattice thermal conductivity

../../_images/fig_times1414.png

(b) Computation time