mp-997102/KAgO2/anharm

Equation of state

../../_images/fig_bm350.png

(a) Equation of state

Harmonic properties

../../_images/fig_bandos_pr954.png

(a) Phonon dispersion with participation ratio and DOS

../../_images/fig_bandos891.png

(b) Phonon dispersion and DOS

../../_images/fig_thermo954.png

(c) Thermodynamic properties

Grüneisen parameters

../../_images/fig_gru_all578.png

(a) Grüneisen parameters

../../_images/fig_gruneisen578.png

(b) Phonon dispersion with Grüneisen parameters

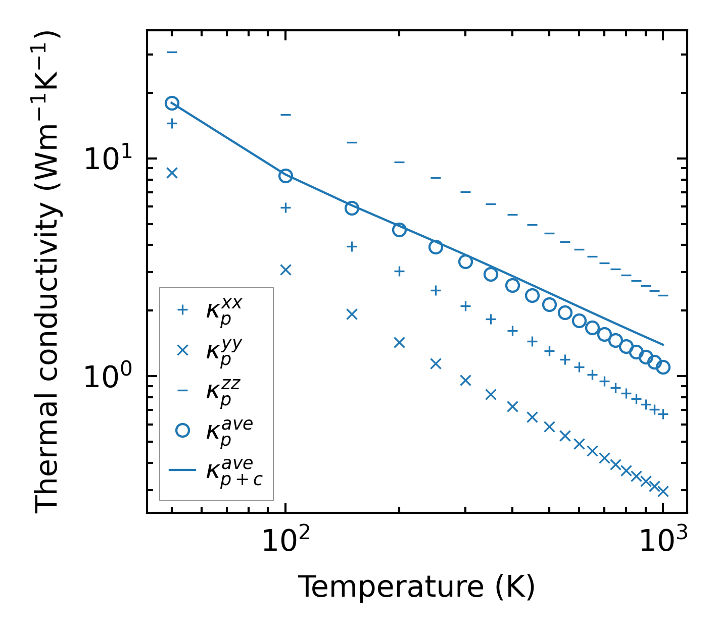
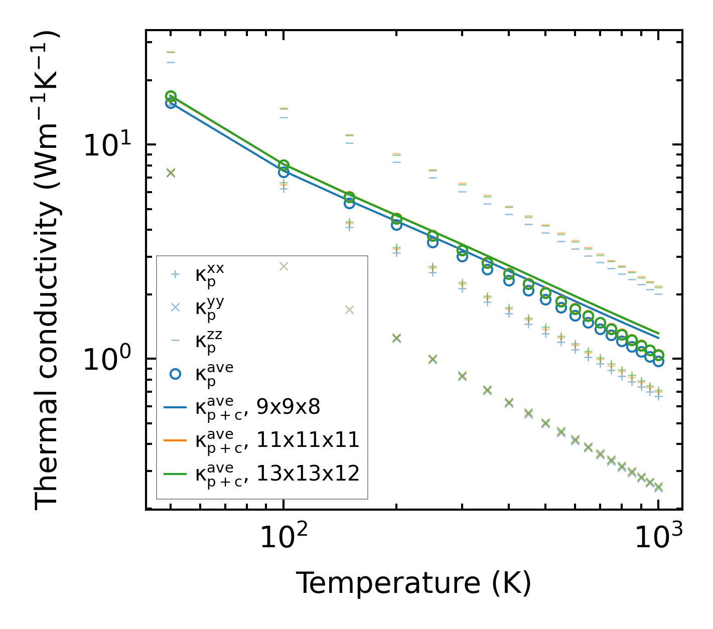
Thermal conductivity

3-phonon (LASSO) — q-mesh: 13x13x12, supercell: 2x2x2

../../_images/fig_kappa1125.png

(a) Temperature-dependent lattice thermal conductivity

../../_images/fig_kappa_vs_grain_size585.png

(b) Peierls lattice thermal conductivity w.r.t grain size

3-phonon (LASSO), supercell 2x2x3 — q-mesh: 13x13x12, supercell: 2x2x3

../../_images/fig_kappa1126.png

(a) Temperature-dependent lattice thermal conductivity

../../_images/fig_kappa_vs_grain_size586.png

(b) Peierls lattice thermal conductivity w.r.t grain size

Phonon lifetime and scattering rates

../../_images/fig_lifetime576.png

(a) Phonon lifetime due to phonon-phonon scattering

../../_images/fig_scat_rates575.png

(b) Phonon scattering rates

Cumulative and spectral thermal conductivity

../../_images/fig_cumu_frequency576.png

(a) Spectral and cumulative thermal conductivity w.r.t frequency

../../_images/fig_cumu_mfp576.png

(b) Spectral and cumulative thermal conductivity w.r.t MFP

Force constants

../../_images/fig_fc2845.png

(a) Force constants w.r.t atomic distance

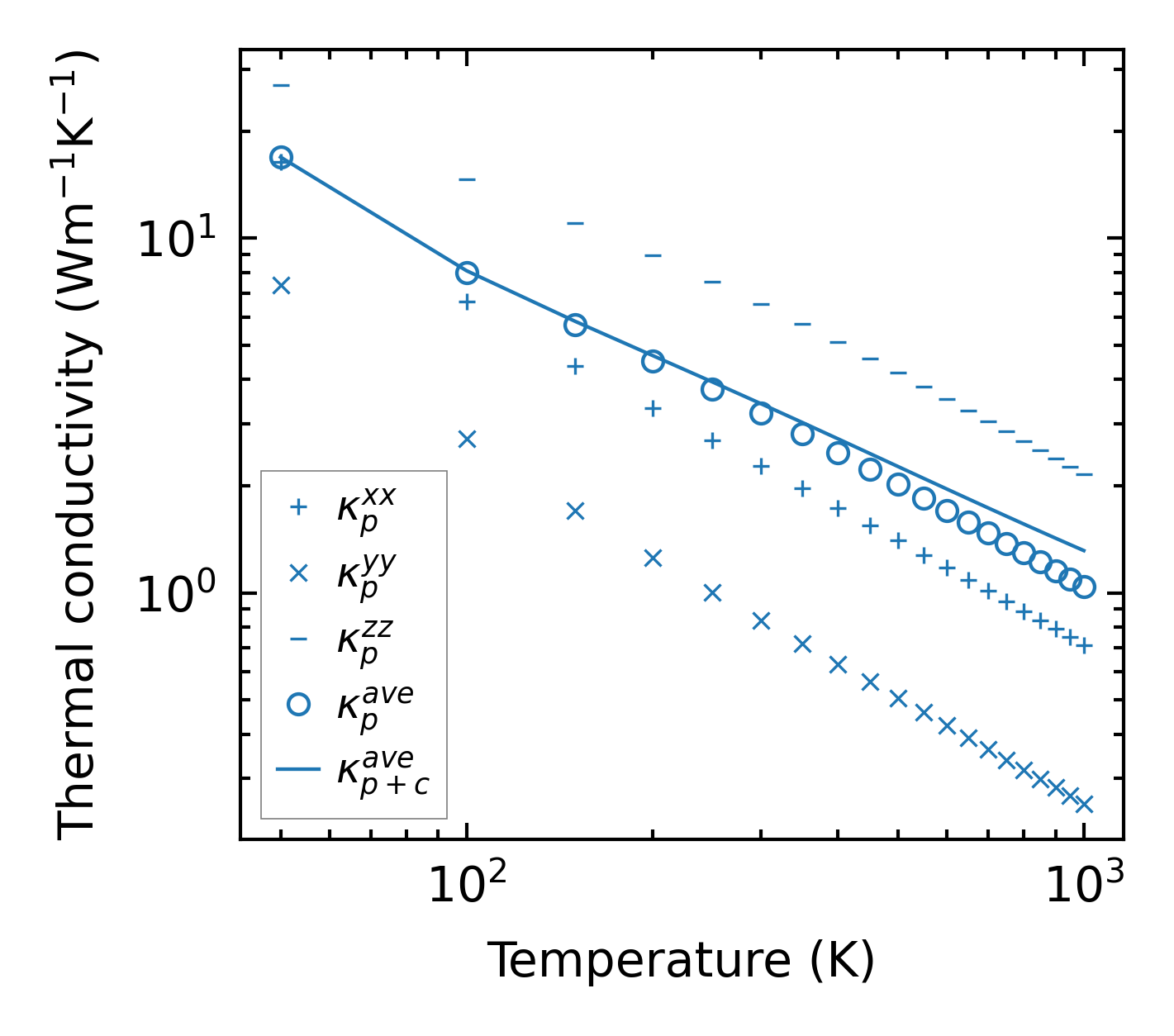
Summary

../../_images/fig_kappa1127.png

(a) Temperature-dependent lattice thermal conductivity

../../_images/fig_times1422.png

(b) Computation time