mp-997570-2/H6CIN/anharm

Equation of state

../../_images/fig_bm356.png

(a) Equation of state

Harmonic properties

../../_images/fig_bandos_pr964.png

(a) Phonon dispersion with participation ratio and DOS

../../_images/fig_thermo964.png

(b) Thermodynamic properties

Grüneisen parameters

../../_images/fig_gru_all587.png

(a) Grüneisen parameters

../../_images/fig_gruneisen587.png

(b) Phonon dispersion with Grüneisen parameters

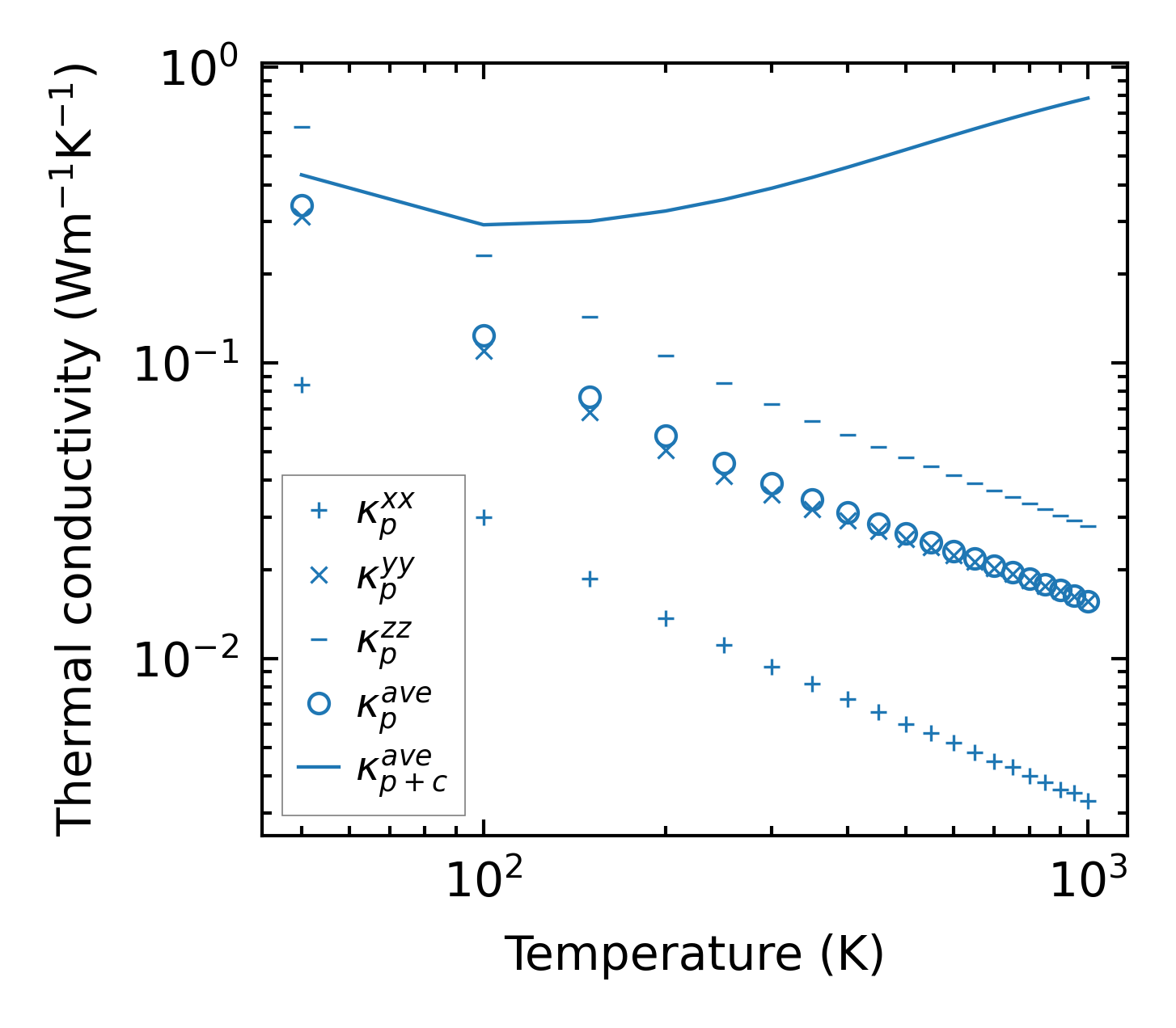
Thermal conductivity

3-phonon (LASSO) — q-mesh: 8x10x10, supercell: 1x2x2

../../_images/fig_kappa1142.png

(a) Temperature-dependent lattice thermal conductivity

../../_images/fig_kappa_vs_grain_size595.png

(b) Peierls lattice thermal conductivity w.r.t grain size

Phonon lifetime and scattering rates

../../_images/fig_lifetime585.png

(a) Phonon lifetime due to phonon-phonon scattering

../../_images/fig_scat_rates584.png

(b) Phonon scattering rates

Cumulative and spectral thermal conductivity

../../_images/fig_cumu_frequency585.png

(a) Spectral and cumulative thermal conductivity w.r.t frequency

../../_images/fig_cumu_mfp585.png

(b) Spectral and cumulative thermal conductivity w.r.t MFP

Force constants

../../_images/fig_fc2855.png

(a) Force constants w.r.t atomic distance

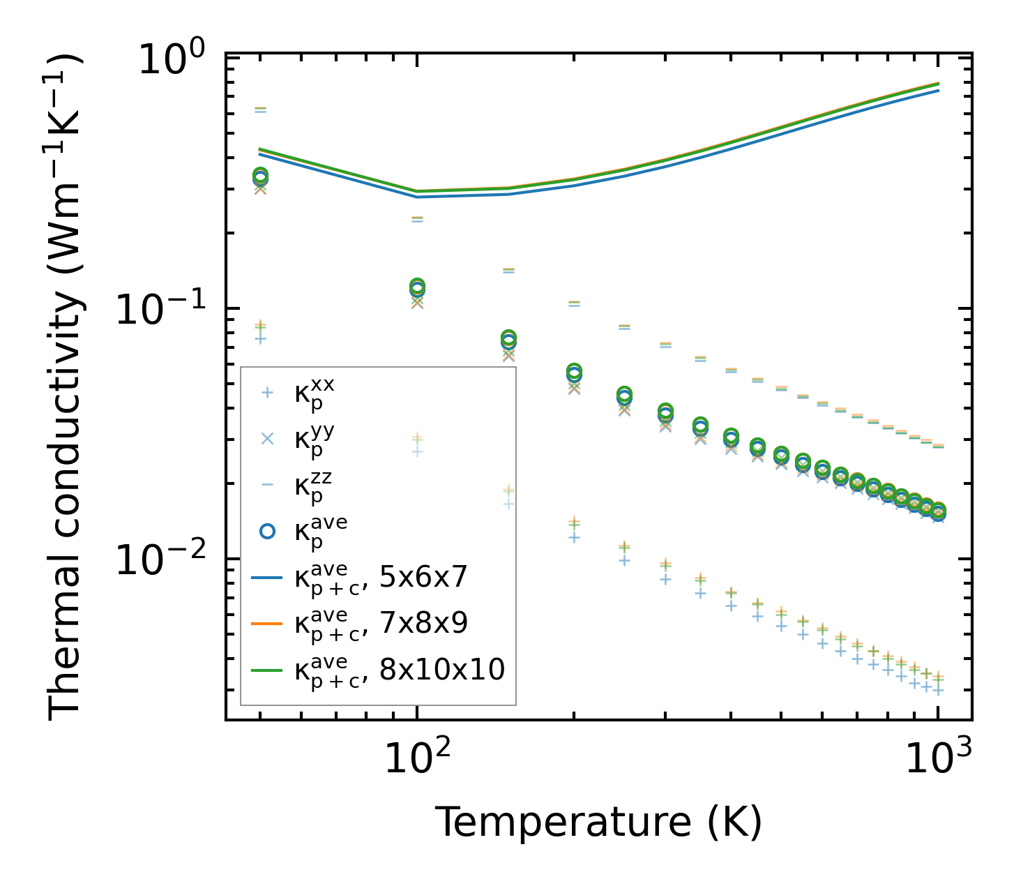
Summary

../../_images/fig_kappa1143.png

(a) Temperature-dependent lattice thermal conductivity

../../_images/fig_times1439.png

(b) Computation time