mp-997089/NaAuO2/anharm

Harmonic properties

../../_images/fig_bandos_pr950.png

(a) Phonon dispersion with participation ratio and DOS

../../_images/fig_thermo950.png

(b) Thermodynamic properties

Grüneisen parameters

../../_images/fig_gru_all576.png

(a) Grüneisen parameters

../../_images/fig_gruneisen576.png

(b) Phonon dispersion with Grüneisen parameters

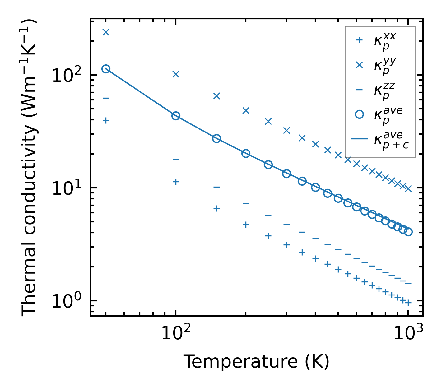
Thermal conductivity

3-phonon (LASSO) — q-mesh: 22x22x13, supercell: 2x4x2

../../_images/fig_kappa1121.png

(a) Temperature-dependent lattice thermal conductivity

../../_images/fig_kappa_vs_grain_size583.png

(b) Peierls lattice thermal conductivity w.r.t grain size

Phonon lifetime and scattering rates

../../_images/fig_lifetime574.png

(a) Phonon lifetime due to phonon-phonon scattering

../../_images/fig_scat_rates573.png

(b) Phonon scattering rates

Cumulative and spectral thermal conductivity

../../_images/fig_cumu_frequency574.png

(a) Spectral and cumulative thermal conductivity w.r.t frequency

../../_images/fig_cumu_mfp574.png

(b) Spectral and cumulative thermal conductivity w.r.t MFP

Force constants

../../_images/fig_fc2841.png

(a) Force constants w.r.t atomic distance

Summary

../../_images/fig_kappa1122.png

(a) Temperature-dependent lattice thermal conductivity

../../_images/fig_times1418.png

(b) Computation time