mp-997084/RbAgO2/anharm

Harmonic properties

../../_images/fig_bandos_pr947.png

(a) Phonon dispersion with participation ratio and DOS

../../_images/fig_thermo947.png

(b) Thermodynamic properties

Grüneisen parameters

../../_images/fig_gru_all573.png

(a) Grüneisen parameters

../../_images/fig_gruneisen573.png

(b) Phonon dispersion with Grüneisen parameters

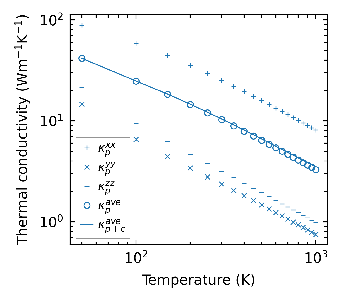
Thermal conductivity

3-phonon (LASSO) — q-mesh: 23x18x12, supercell: 4x4x2

../../_images/fig_kappa1115.png

(a) Temperature-dependent lattice thermal conductivity

../../_images/fig_kappa_vs_grain_size580.png

(b) Peierls lattice thermal conductivity w.r.t grain size

Phonon lifetime and scattering rates

../../_images/fig_lifetime571.png

(a) Phonon lifetime due to phonon-phonon scattering

../../_images/fig_scat_rates570.png

(b) Phonon scattering rates

Cumulative and spectral thermal conductivity

../../_images/fig_cumu_frequency571.png

(a) Spectral and cumulative thermal conductivity w.r.t frequency

../../_images/fig_cumu_mfp571.png

(b) Spectral and cumulative thermal conductivity w.r.t MFP

Force constants

../../_images/fig_fc2838.png

(a) Force constants w.r.t atomic distance

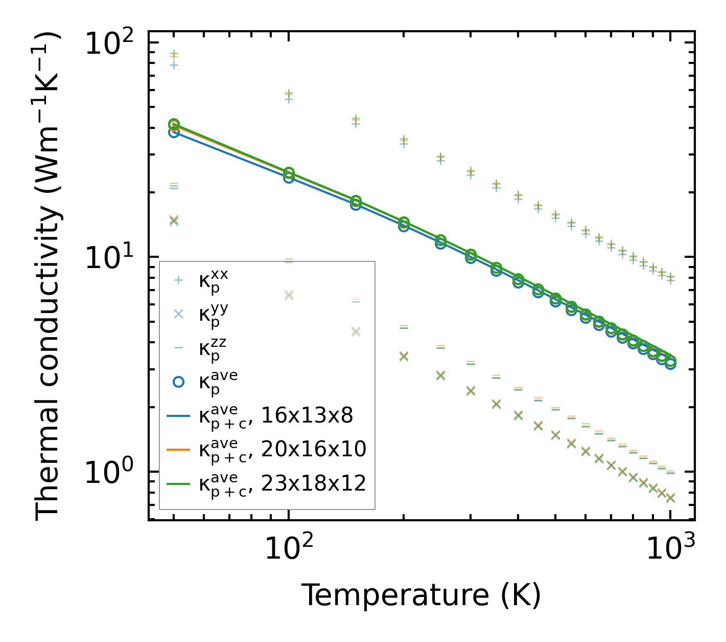
Summary

../../_images/fig_kappa1116.png

(a) Temperature-dependent lattice thermal conductivity

../../_images/fig_times1415.png

(b) Computation time