mp-997102-2/KAgO2/anharm

Harmonic properties

../../_images/fig_bandos_pr955.png

(a) Phonon dispersion with participation ratio and DOS

../../_images/fig_bandos892.png

(b) Phonon dispersion and DOS

../../_images/fig_thermo955.png

(c) Thermodynamic properties

Grüneisen parameters

../../_images/fig_gru_all579.png

(a) Grüneisen parameters

../../_images/fig_gruneisen579.png

(b) Phonon dispersion with Grüneisen parameters

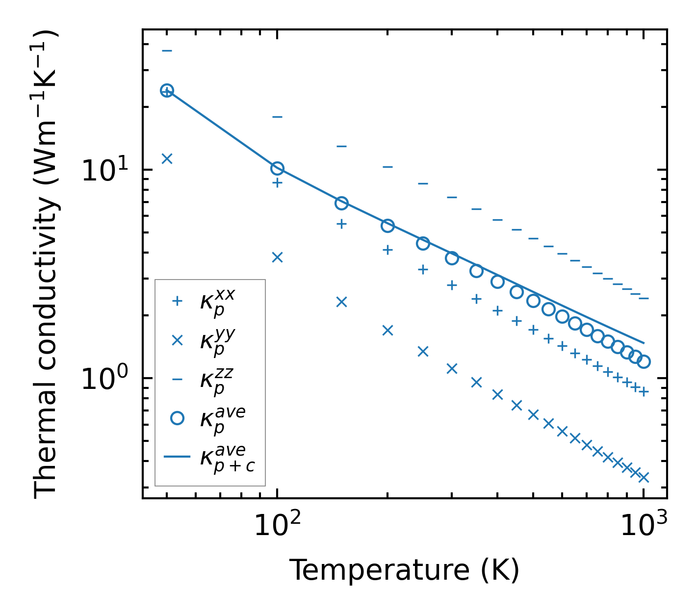
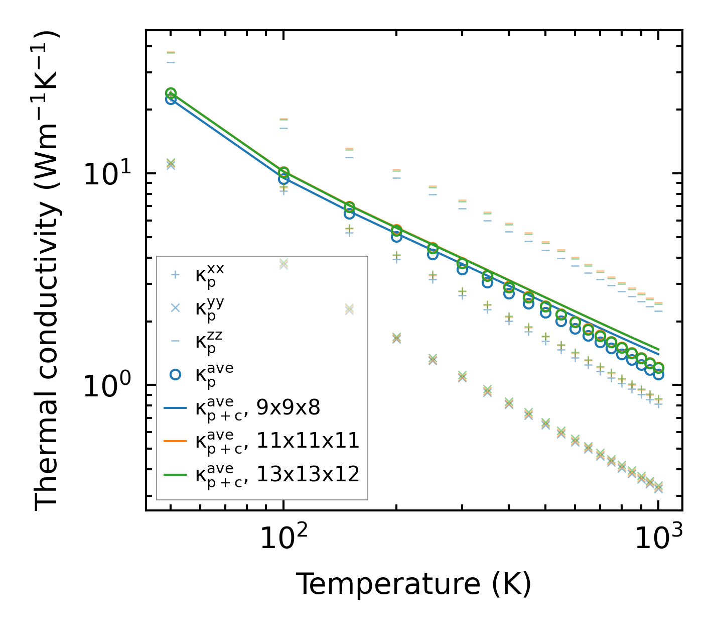
Thermal conductivity

3-phonon (LASSO) — q-mesh: 13x13x12, supercell: 2x2x2

../../_images/fig_kappa1128.png

(a) Temperature-dependent lattice thermal conductivity

../../_images/fig_kappa_vs_grain_size587.png

(b) Peierls lattice thermal conductivity w.r.t grain size

Phonon lifetime and scattering rates

../../_images/fig_lifetime577.png

(a) Phonon lifetime due to phonon-phonon scattering

../../_images/fig_scat_rates576.png

(b) Phonon scattering rates

Cumulative and spectral thermal conductivity

../../_images/fig_cumu_frequency577.png

(a) Spectral and cumulative thermal conductivity w.r.t frequency

../../_images/fig_cumu_mfp577.png

(b) Spectral and cumulative thermal conductivity w.r.t MFP

Force constants

../../_images/fig_fc2846.png

(a) Force constants w.r.t atomic distance

Summary

../../_images/fig_kappa1129.png

(a) Temperature-dependent lattice thermal conductivity

../../_images/fig_times1423.png

(b) Computation time