mp-997161-2/CoAuO2/anharm

Harmonic properties

../../_images/fig_bandos_pr961.png

(a) Phonon dispersion with participation ratio and DOS

../../_images/fig_thermo961.png

(b) Thermodynamic properties

Grüneisen parameters

../../_images/fig_gru_all584.png

(a) Grüneisen parameters

../../_images/fig_gruneisen584.png

(b) Phonon dispersion with Grüneisen parameters

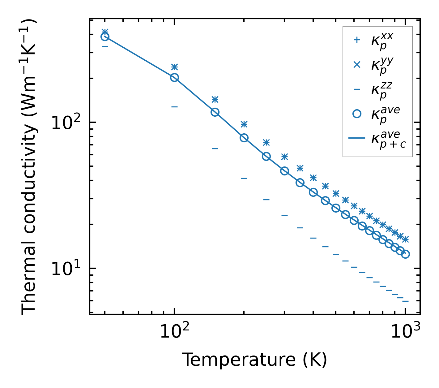
Thermal conductivity

3-phonon (LASSO) — q-mesh: 20x20x20, supercell: 3x3x1

../../_images/fig_kappa1136.png

(a) Temperature-dependent lattice thermal conductivity

../../_images/fig_kappa_vs_grain_size592.png

(b) Peierls lattice thermal conductivity w.r.t grain size

Phonon lifetime and scattering rates

../../_images/fig_lifetime582.png

(a) Phonon lifetime due to phonon-phonon scattering

../../_images/fig_scat_rates581.png

(b) Phonon scattering rates

Cumulative and spectral thermal conductivity

../../_images/fig_cumu_frequency582.png

(a) Spectral and cumulative thermal conductivity w.r.t frequency

../../_images/fig_cumu_mfp582.png

(b) Spectral and cumulative thermal conductivity w.r.t MFP

Force constants

../../_images/fig_fc2852.png

(a) Force constants w.r.t atomic distance

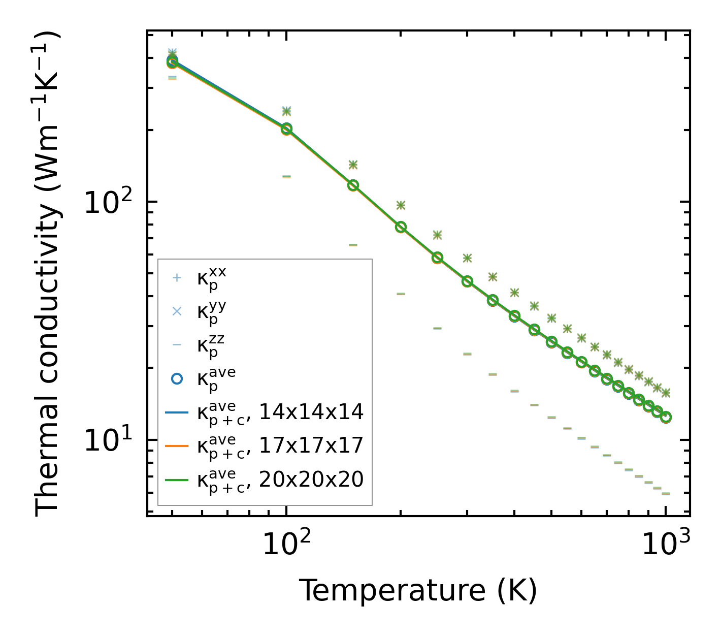
Summary

../../_images/fig_kappa1137.png

(a) Temperature-dependent lattice thermal conductivity

../../_images/fig_times1432.png

(b) Computation time