mp-757917/BeGa2O4/harm

Harmonic properties

../../_images/fig_bandos_pr3197.png

(a) Phonon dispersion with participation ratio and DOS

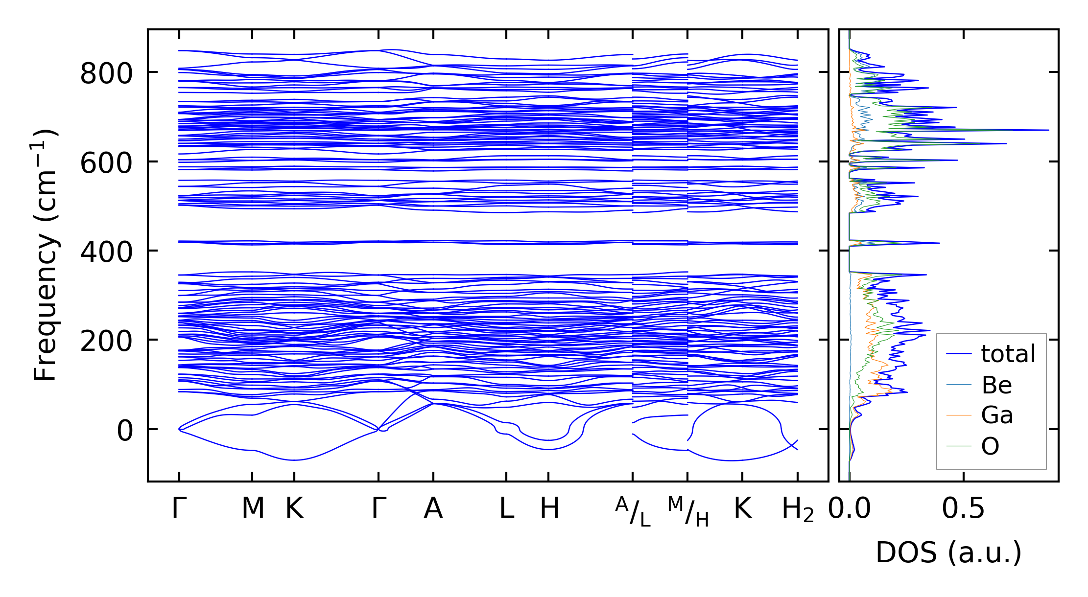
../../_images/fig_bandos4223.png

(b) Phonon dispersion and DOS

../../_images/fig_thermo3197.png

(c) Thermodynamic properties

Force constants

../../_images/fig_fc23016.png

(a) Force constants w.r.t atomic distance

Summary

../../_images/fig_times5547.png

(a) Computation time