mp-757094/La2HfO5/anharm

Harmonic properties

../../_images/fig_bandos_pr3115.png

(a) Phonon dispersion with participation ratio and DOS

../../_images/fig_thermo3115.png

(b) Thermodynamic properties

Grüneisen parameters

../../_images/fig_gru_all1466.png

(a) Grüneisen parameters

../../_images/fig_gruneisen1466.png

(b) Phonon dispersion with Grüneisen parameters

Thermal conductivity

3-phonon (LASSO) — q-mesh: 13x13x7, supercell: 3x1x1

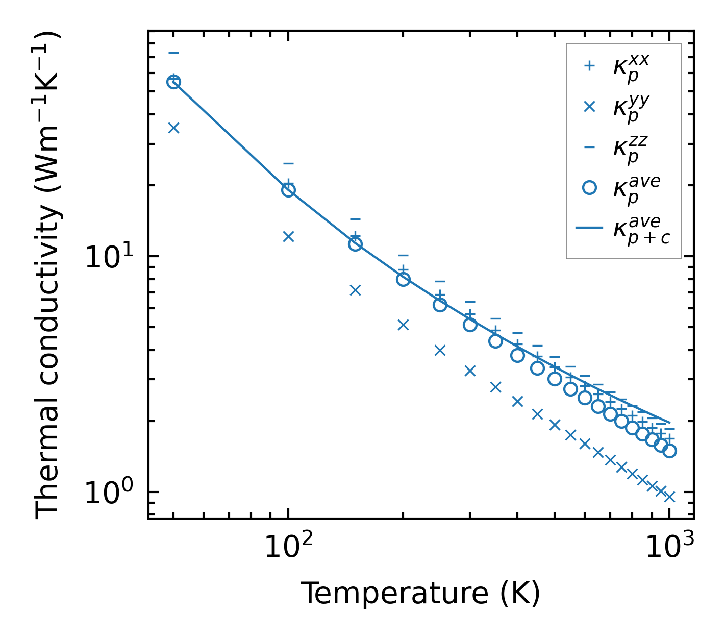
../../_images/fig_kappa2824.png

(a) Temperature-dependent lattice thermal conductivity

../../_images/fig_kappa_vs_grain_size1482.png

(b) Peierls lattice thermal conductivity w.r.t grain size

Phonon lifetime and scattering rates

../../_images/fig_lifetime1456.png

(a) Phonon lifetime due to phonon-phonon scattering

../../_images/fig_scat_rates1455.png

(b) Phonon scattering rates

Cumulative and spectral thermal conductivity

../../_images/fig_cumu_frequency1456.png

(a) Spectral and cumulative thermal conductivity w.r.t frequency

../../_images/fig_cumu_mfp1456.png

(b) Spectral and cumulative thermal conductivity w.r.t MFP

Force constants

../../_images/fig_fc22934.png

(a) Force constants w.r.t atomic distance

Summary

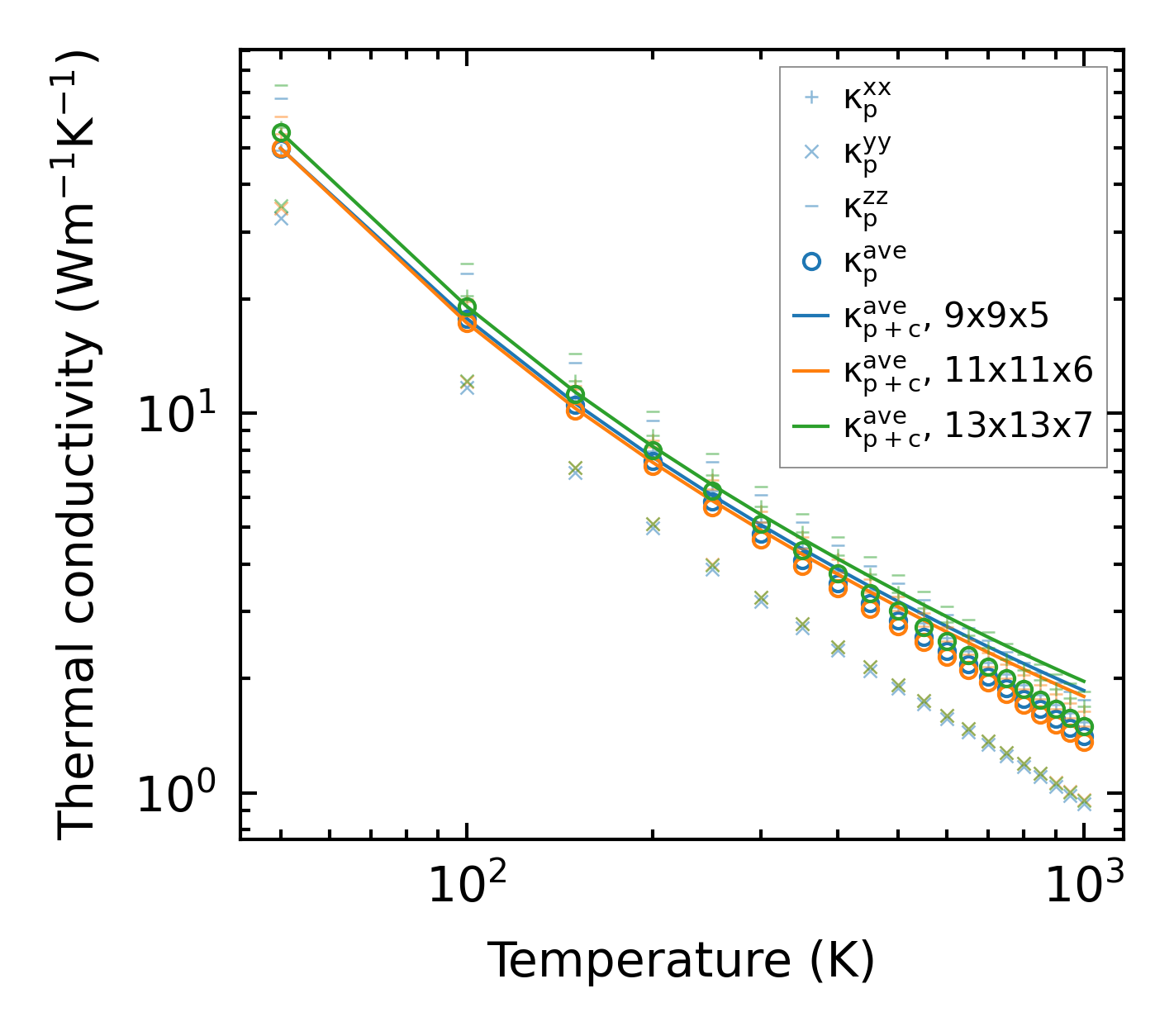
../../_images/fig_kappa2825.png

(a) Temperature-dependent lattice thermal conductivity

../../_images/fig_times5378.png

(b) Computation time