mp-757375/Ti2Sn3O10/anharm

Equation of state

../../_images/fig_bm1433.png

(a) Equation of state

Harmonic properties

../../_images/fig_bandos_pr3148.png

(a) Phonon dispersion with participation ratio and DOS

../../_images/fig_thermo3148.png

(b) Thermodynamic properties

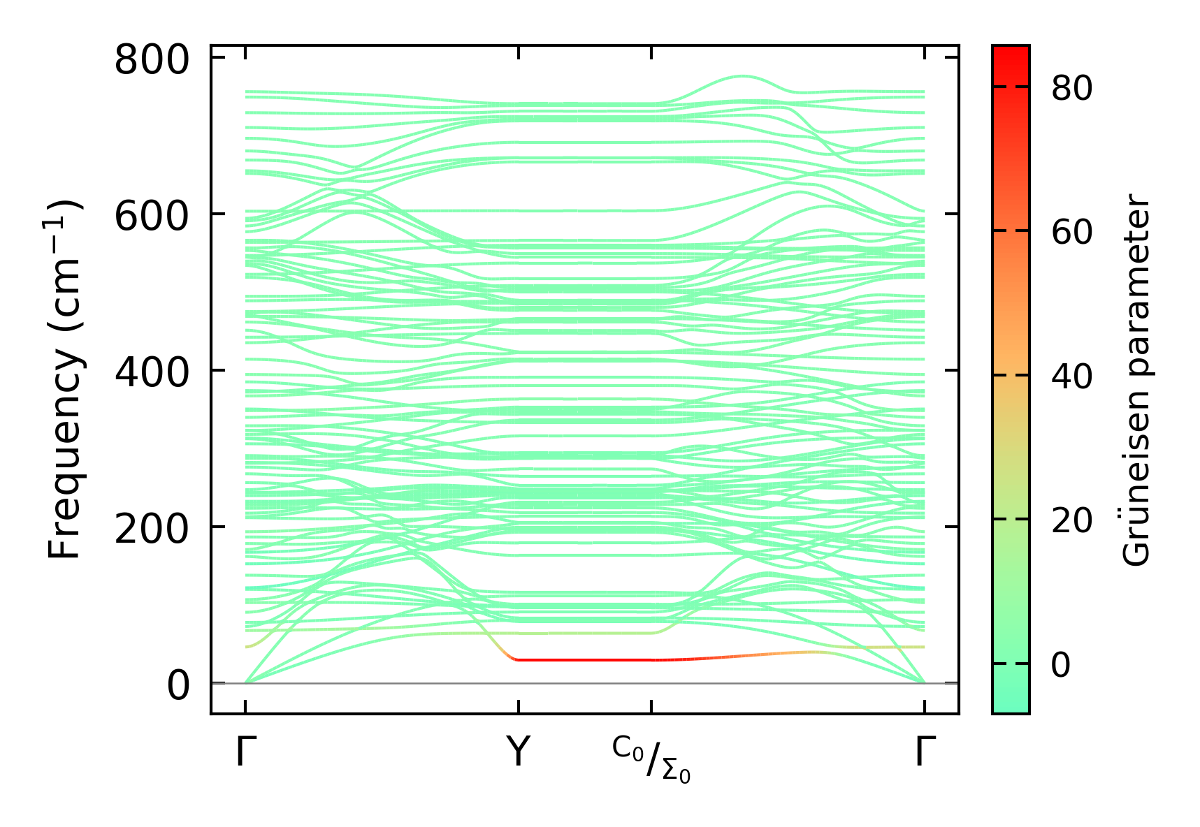
Grüneisen parameters

../../_images/fig_gru_all1472.png

(a) Grüneisen parameters

../../_images/fig_gruneisen1472.png

(b) Phonon dispersion with Grüneisen parameters

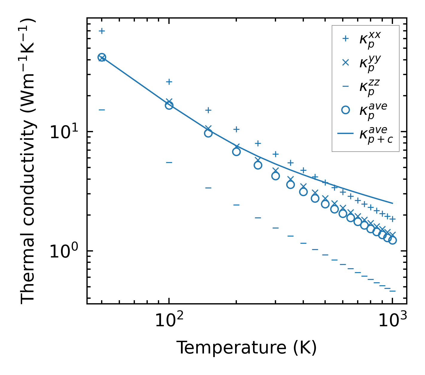
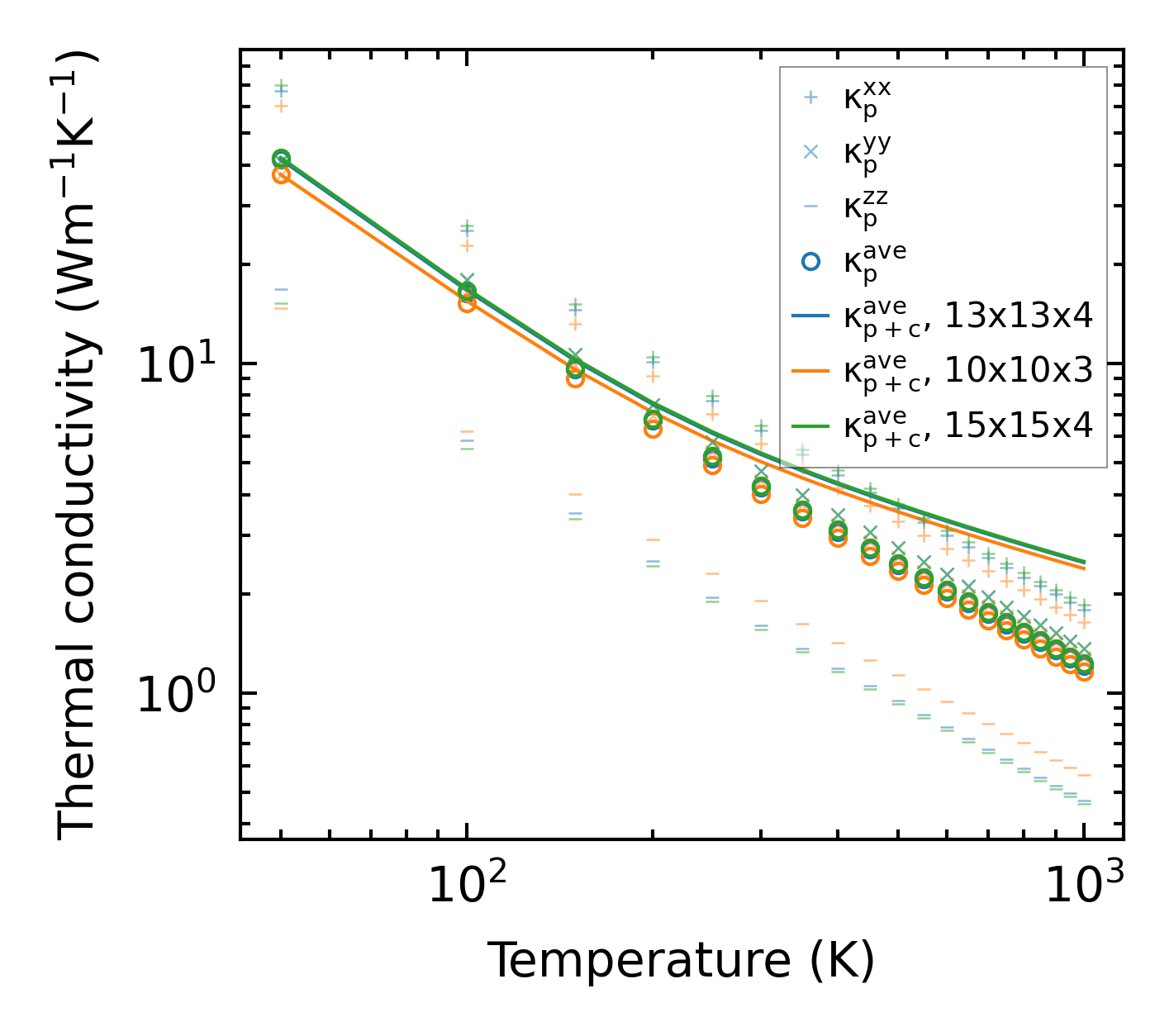
Thermal conductivity

3-phonon (LASSO) — q-mesh: 15x15x4, supercell: 2x1x1

../../_images/fig_kappa2834.png

(a) Temperature-dependent lattice thermal conductivity

../../_images/fig_kappa_vs_grain_size1488.png

(b) Peierls lattice thermal conductivity w.r.t grain size

Phonon lifetime and scattering rates

../../_images/fig_lifetime1462.png

(a) Phonon lifetime due to phonon-phonon scattering

../../_images/fig_scat_rates1461.png

(b) Phonon scattering rates

Cumulative and spectral thermal conductivity

../../_images/fig_cumu_frequency1462.png

(a) Spectral and cumulative thermal conductivity w.r.t frequency

../../_images/fig_cumu_mfp1462.png

(b) Spectral and cumulative thermal conductivity w.r.t MFP

Force constants

../../_images/fig_fc22967.png

(a) Force constants w.r.t atomic distance

Summary

../../_images/fig_kappa2835.png

(a) Temperature-dependent lattice thermal conductivity

../../_images/fig_times5450.png

(b) Computation time