mp-757878/Na5CuH2O4/anharm

Harmonic properties

../../_images/fig_bandos_pr3190.png

(a) Phonon dispersion with participation ratio and DOS

../../_images/fig_thermo3190.png

(b) Thermodynamic properties

Grüneisen parameters

../../_images/fig_gru_all1483.png

(a) Grüneisen parameters

../../_images/fig_gruneisen1483.png

(b) Phonon dispersion with Grüneisen parameters

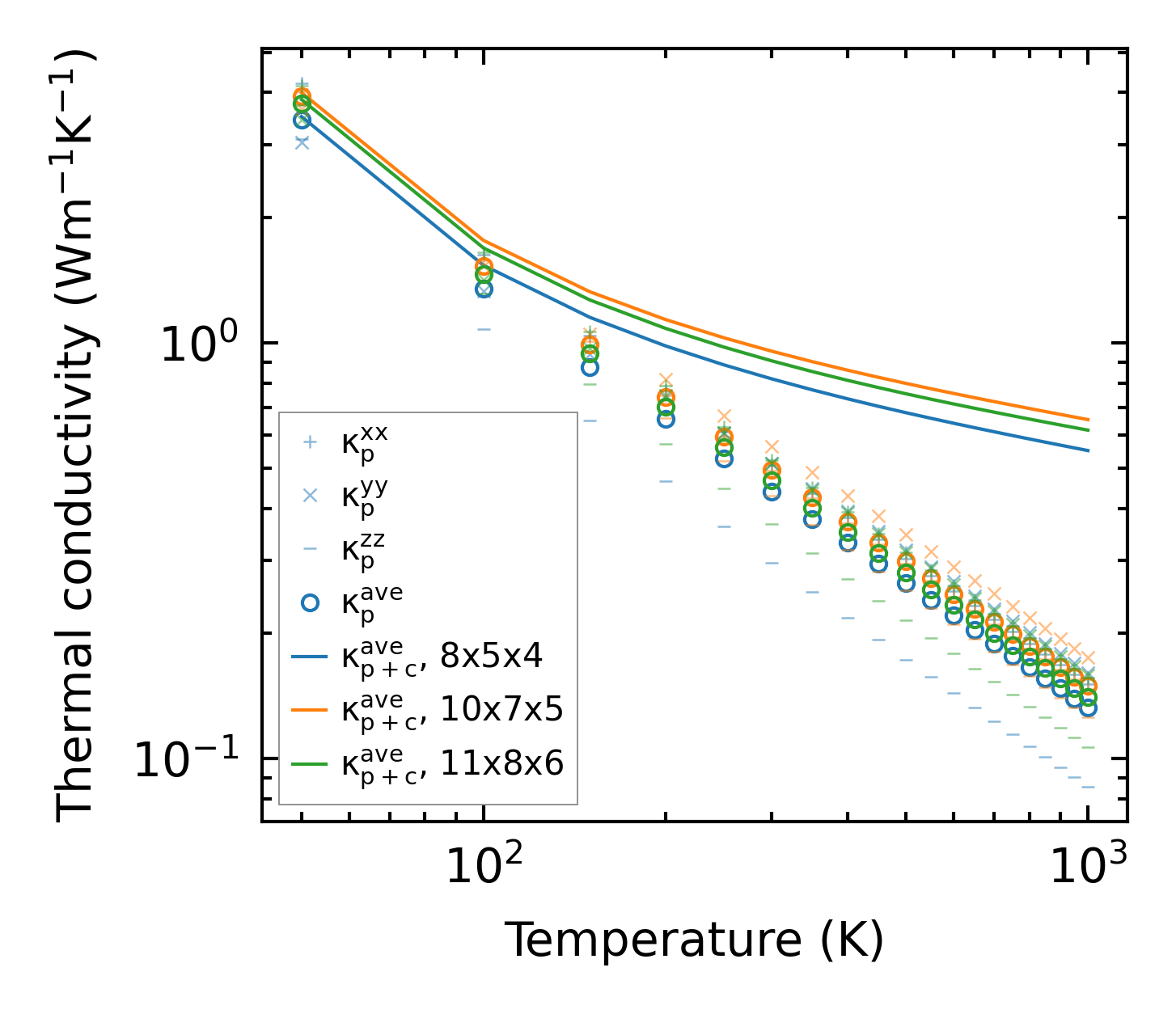
Thermal conductivity

3-phonon (LASSO) — q-mesh: 11x8x6, supercell: 2x1x1

../../_images/fig_kappa2852.png

(a) Temperature-dependent lattice thermal conductivity

../../_images/fig_kappa_vs_grain_size1500.png

(b) Peierls lattice thermal conductivity w.r.t grain size

Phonon lifetime and scattering rates

../../_images/fig_lifetime1473.png

(a) Phonon lifetime due to phonon-phonon scattering

../../_images/fig_scat_rates1472.png

(b) Phonon scattering rates

Cumulative and spectral thermal conductivity

../../_images/fig_cumu_frequency1473.png

(a) Spectral and cumulative thermal conductivity w.r.t frequency

../../_images/fig_cumu_mfp1473.png

(b) Spectral and cumulative thermal conductivity w.r.t MFP

Force constants

../../_images/fig_fc23009.png

(a) Force constants w.r.t atomic distance

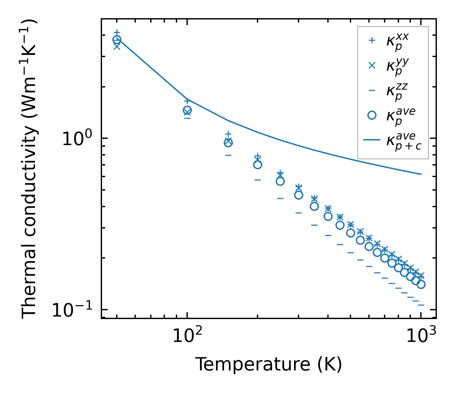
Summary

../../_images/fig_kappa2853.png

(a) Temperature-dependent lattice thermal conductivity

../../_images/fig_times5531.png

(b) Computation time