mp-757595-2/H3SNO3/anharm

Equation of state

../../_images/fig_bm1449.png

(a) Equation of state

Harmonic properties

../../_images/fig_bandos_pr3169.png

(a) Phonon dispersion with participation ratio and DOS

../../_images/fig_bandos4169.png

(b) Phonon dispersion and DOS

../../_images/fig_thermo3169.png

(c) Thermodynamic properties

Grüneisen parameters

../../_images/fig_gru_all1477.png

(a) Grüneisen parameters

../../_images/fig_gruneisen1477.png

(b) Phonon dispersion with Grüneisen parameters

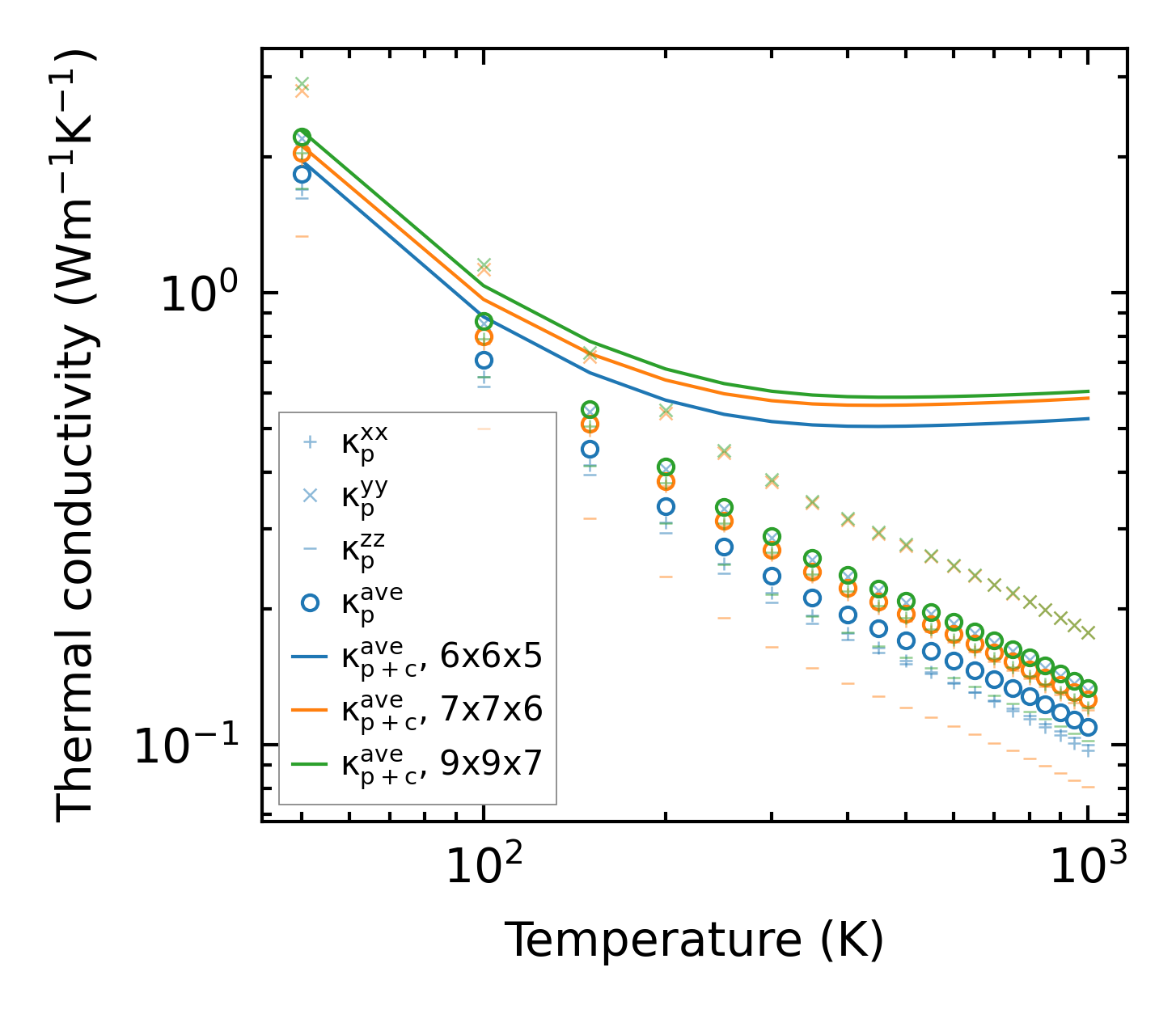
Thermal conductivity

3-phonon (LASSO) — q-mesh: 9x9x7, supercell: 2x1x1

../../_images/fig_kappa2842.png

(a) Temperature-dependent lattice thermal conductivity

../../_images/fig_kappa_vs_grain_size1493.png

(b) Peierls lattice thermal conductivity w.r.t grain size

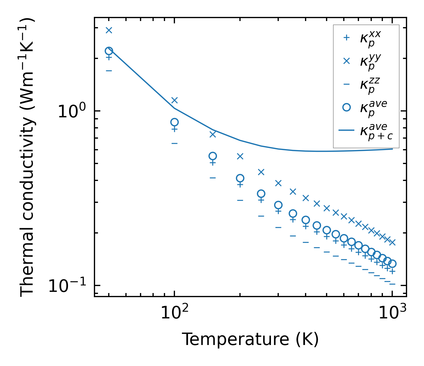
3-phonon (LASSO), supercell 2x2x1 — q-mesh: 9x9x7, supercell: 2x2x1

../../_images/fig_kappa2843.png

(a) Temperature-dependent lattice thermal conductivity

../../_images/fig_kappa_vs_grain_size1494.png

(b) Peierls lattice thermal conductivity w.r.t grain size

Phonon lifetime and scattering rates

../../_images/fig_lifetime1467.png

(a) Phonon lifetime due to phonon-phonon scattering

../../_images/fig_scat_rates1466.png

(b) Phonon scattering rates

Cumulative and spectral thermal conductivity

../../_images/fig_cumu_frequency1467.png

(a) Spectral and cumulative thermal conductivity w.r.t frequency

../../_images/fig_cumu_mfp1467.png

(b) Spectral and cumulative thermal conductivity w.r.t MFP

Force constants

../../_images/fig_fc22988.png

(a) Force constants w.r.t atomic distance

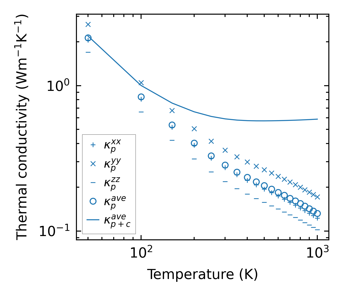
Summary

../../_images/fig_kappa2844.png

(a) Temperature-dependent lattice thermal conductivity

../../_images/fig_times5490.png

(b) Computation time