mp-757574-2/Ba8In8O19/anharm

Equation of state

../../_images/fig_bm1445.png

(a) Equation of state

Harmonic properties

../../_images/fig_bandos_pr3165.png

(a) Phonon dispersion with participation ratio and DOS

../../_images/fig_bandos4161.png

(b) Phonon dispersion and DOS

../../_images/fig_thermo3165.png

(c) Thermodynamic properties

Grüneisen parameters

../../_images/fig_gru_all1476.png

(a) Grüneisen parameters

../../_images/fig_gruneisen1476.png

(b) Phonon dispersion with Grüneisen parameters

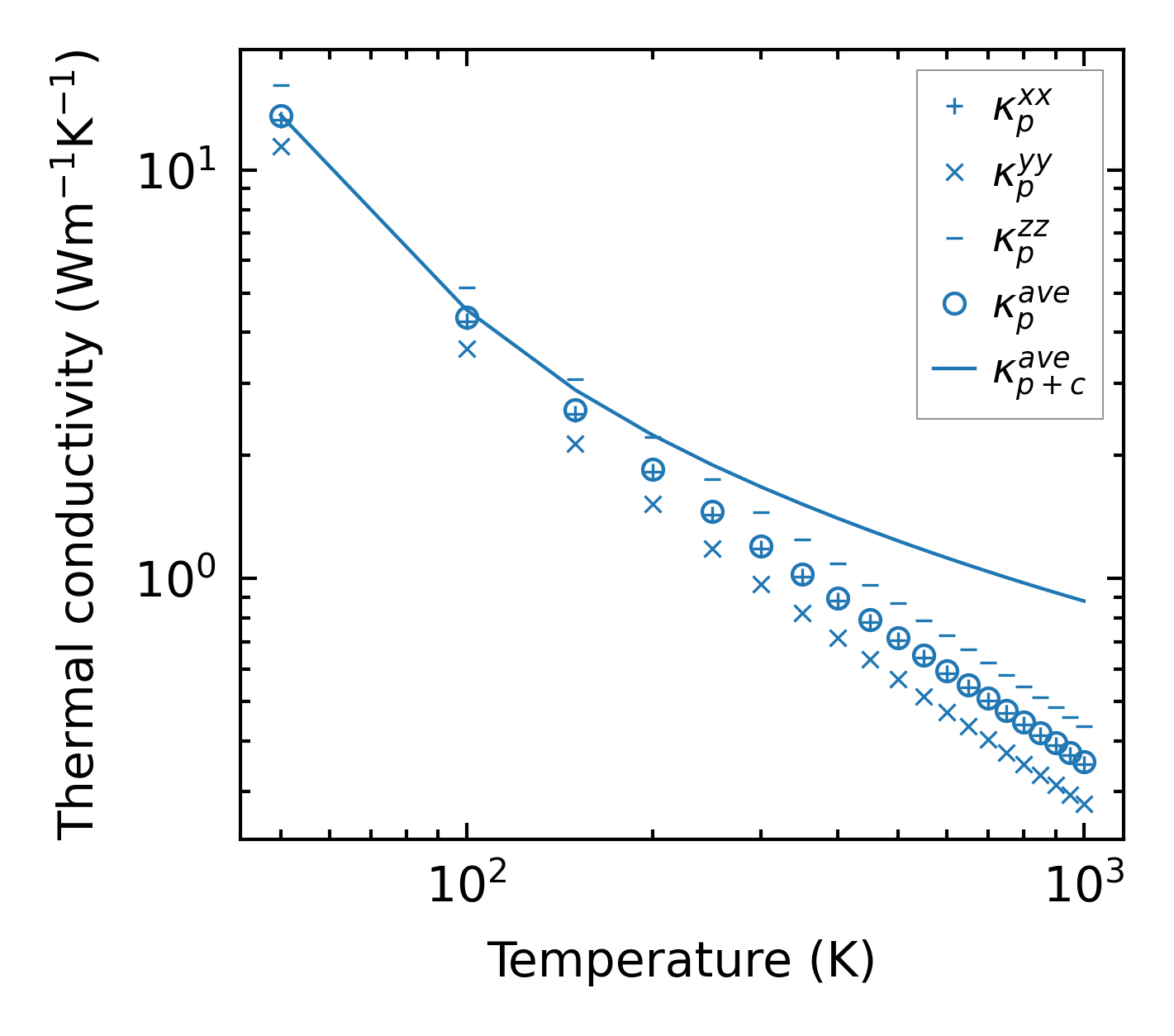
Thermal conductivity

3-phonon (LASSO), supercell 2x1x2 — q-mesh: 8x8x9, supercell: 2x1x2

../../_images/fig_kappa2841.png

(a) Temperature-dependent lattice thermal conductivity

../../_images/fig_kappa_vs_grain_size1492.png

(b) Peierls lattice thermal conductivity w.r.t grain size

Phonon lifetime and scattering rates

../../_images/fig_lifetime1466.png

(a) Phonon lifetime due to phonon-phonon scattering

../../_images/fig_scat_rates1465.png

(b) Phonon scattering rates

Cumulative and spectral thermal conductivity

../../_images/fig_cumu_frequency1466.png

(a) Spectral and cumulative thermal conductivity w.r.t frequency

../../_images/fig_cumu_mfp1466.png

(b) Spectral and cumulative thermal conductivity w.r.t MFP

Force constants

../../_images/fig_fc22984.png

(a) Force constants w.r.t atomic distance

Summary

../../_images/fig_times5482.png

(a) Computation time