mp-757911/MgAl10O16/harm

Equation of state

../../_images/fig_bm1472.png

(a) Equation of state

Harmonic properties

../../_images/fig_bandos_pr3196.png

(a) Phonon dispersion with participation ratio and DOS

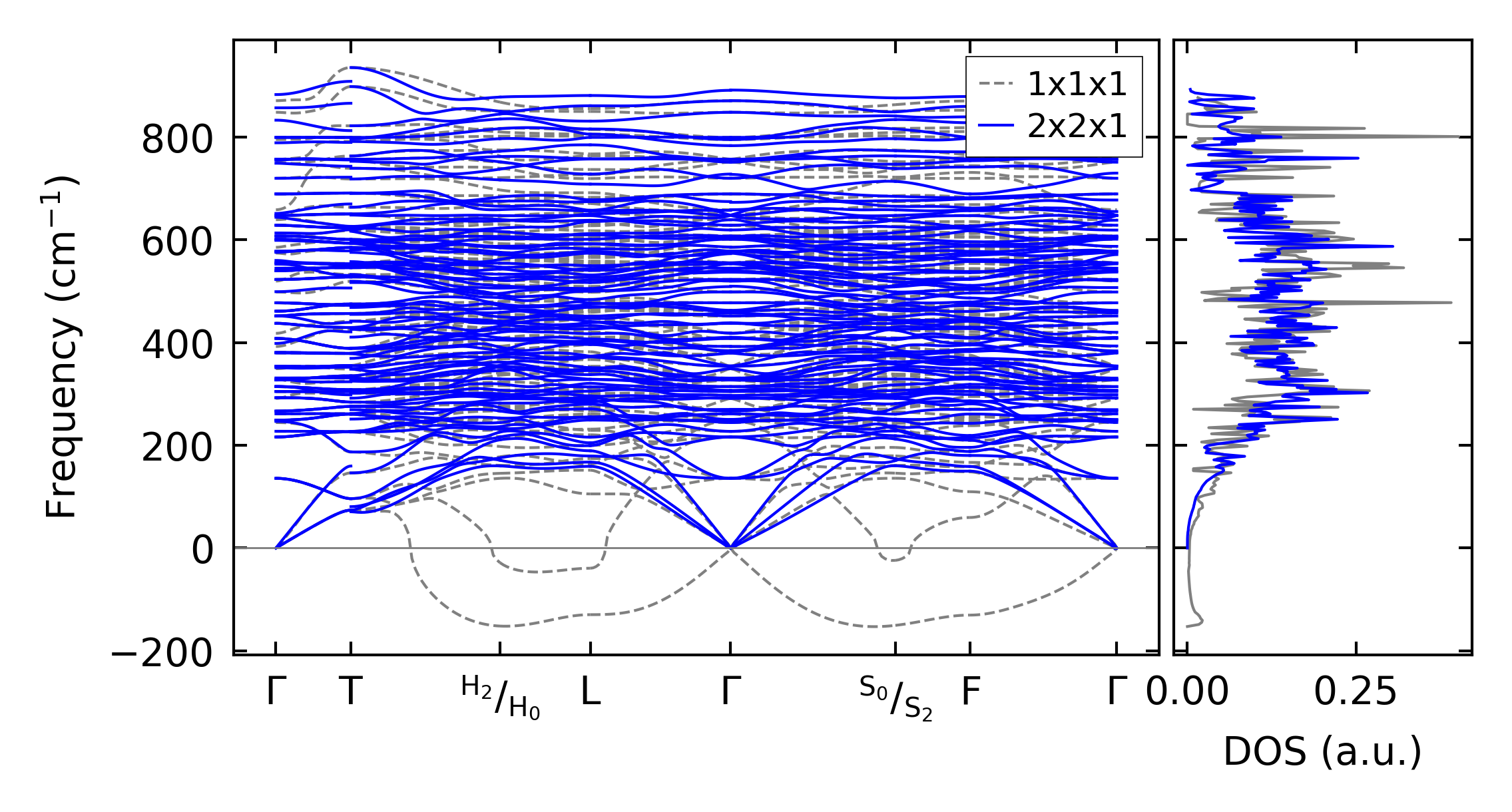
../../_images/fig_bandos4222.png

(b) Phonon dispersion and DOS

../../_images/fig_thermo3196.png

(c) Thermodynamic properties

Force constants

../../_images/fig_fc23015.png

(a) Force constants w.r.t atomic distance

Summary

../../_images/fig_times5546.png

(a) Computation time