mp-757375-2/Ti2Sn3O10/anharm

Harmonic properties

../../_images/fig_bandos_pr3149.png

(a) Phonon dispersion with participation ratio and DOS

../../_images/fig_thermo3149.png

(b) Thermodynamic properties

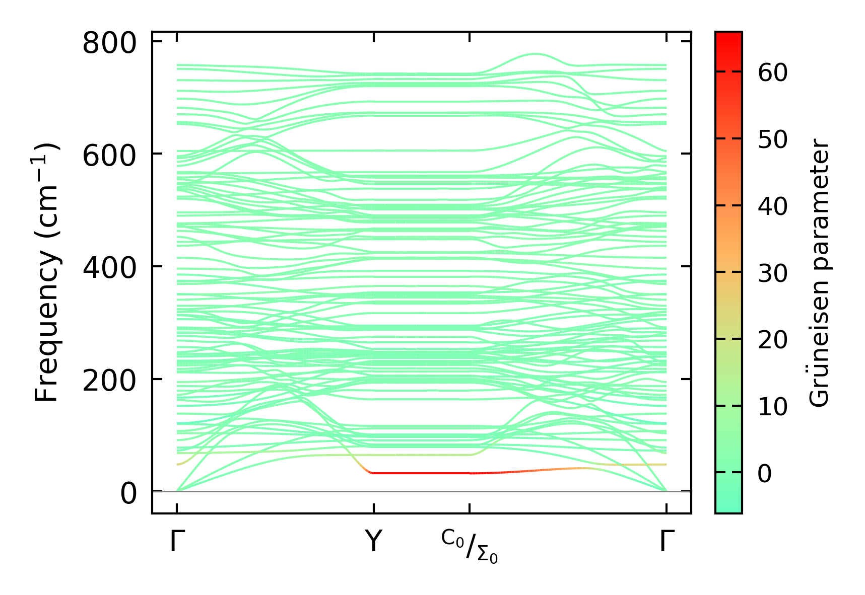
Grüneisen parameters

../../_images/fig_gru_all1473.png

(a) Grüneisen parameters

../../_images/fig_gruneisen1473.png

(b) Phonon dispersion with Grüneisen parameters

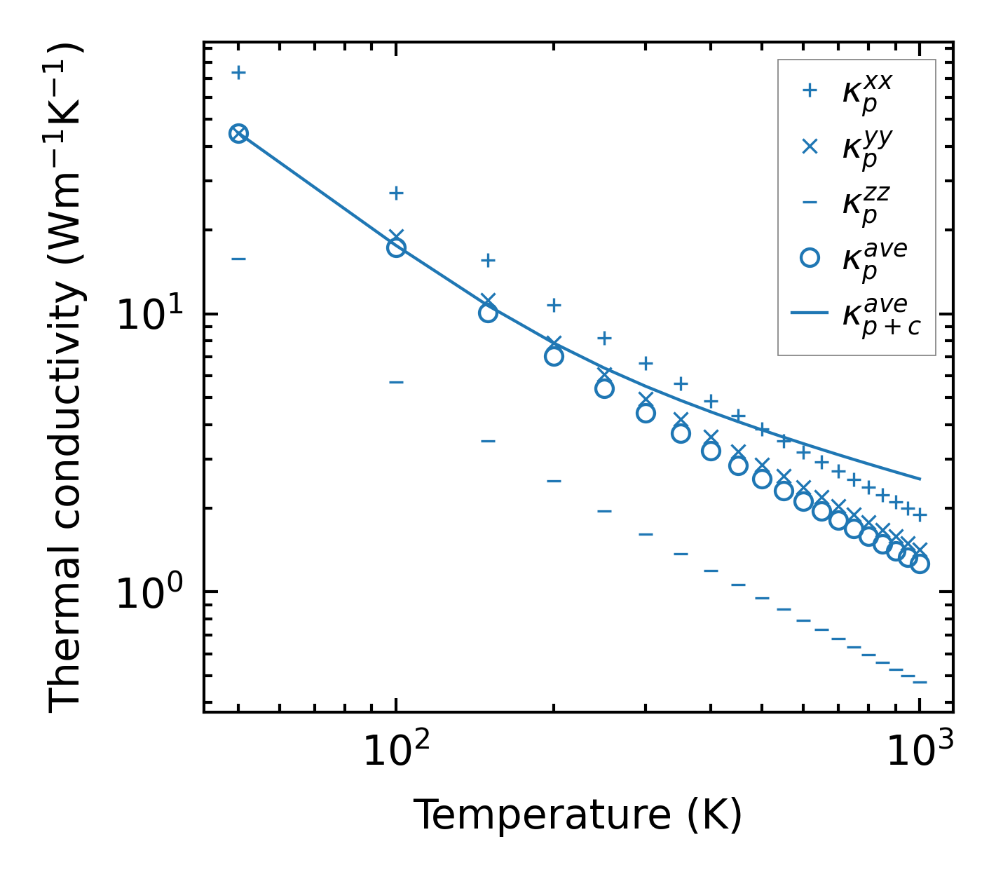
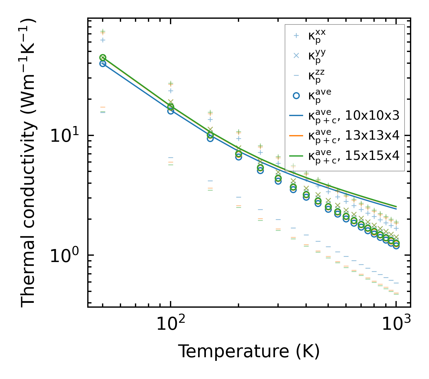
Thermal conductivity

3-phonon (LASSO) — q-mesh: 15x15x4, supercell: 2x1x1

../../_images/fig_kappa2836.png

(a) Temperature-dependent lattice thermal conductivity

../../_images/fig_kappa_vs_grain_size1489.png

(b) Peierls lattice thermal conductivity w.r.t grain size

Phonon lifetime and scattering rates

../../_images/fig_lifetime1463.png

(a) Phonon lifetime due to phonon-phonon scattering

../../_images/fig_scat_rates1462.png

(b) Phonon scattering rates

Cumulative and spectral thermal conductivity

../../_images/fig_cumu_frequency1463.png

(a) Spectral and cumulative thermal conductivity w.r.t frequency

../../_images/fig_cumu_mfp1463.png

(b) Spectral and cumulative thermal conductivity w.r.t MFP

Force constants

../../_images/fig_fc22968.png

(a) Force constants w.r.t atomic distance

Summary

../../_images/fig_kappa2837.png

(a) Temperature-dependent lattice thermal conductivity

../../_images/fig_times5451.png

(b) Computation time