mp-757198/Li2VOF5/harm

Harmonic properties

../../_images/fig_bandos_pr3134.png

(a) Phonon dispersion with participation ratio and DOS

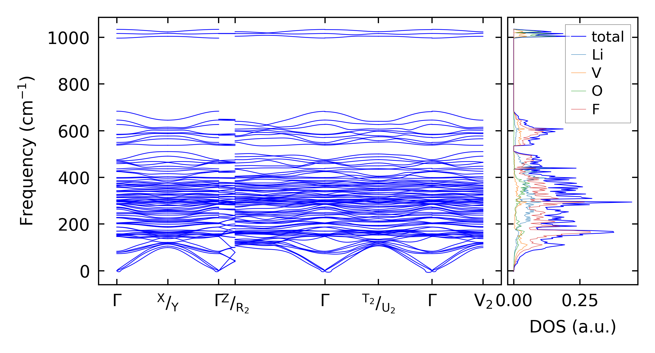
../../_images/fig_bandos4098.png

(b) Phonon dispersion and DOS

../../_images/fig_thermo3134.png

(c) Thermodynamic properties

Force constants

../../_images/fig_fc22953.png

(a) Force constants w.r.t atomic distance

Summary

../../_images/fig_times5416.png

(a) Computation time