mp-757094-2/La2HfO5/anharm

Harmonic properties

../../_images/fig_bandos_pr3116.png

(a) Phonon dispersion with participation ratio and DOS

../../_images/fig_thermo3116.png

(b) Thermodynamic properties

Grüneisen parameters

../../_images/fig_gru_all1467.png

(a) Grüneisen parameters

../../_images/fig_gruneisen1467.png

(b) Phonon dispersion with Grüneisen parameters

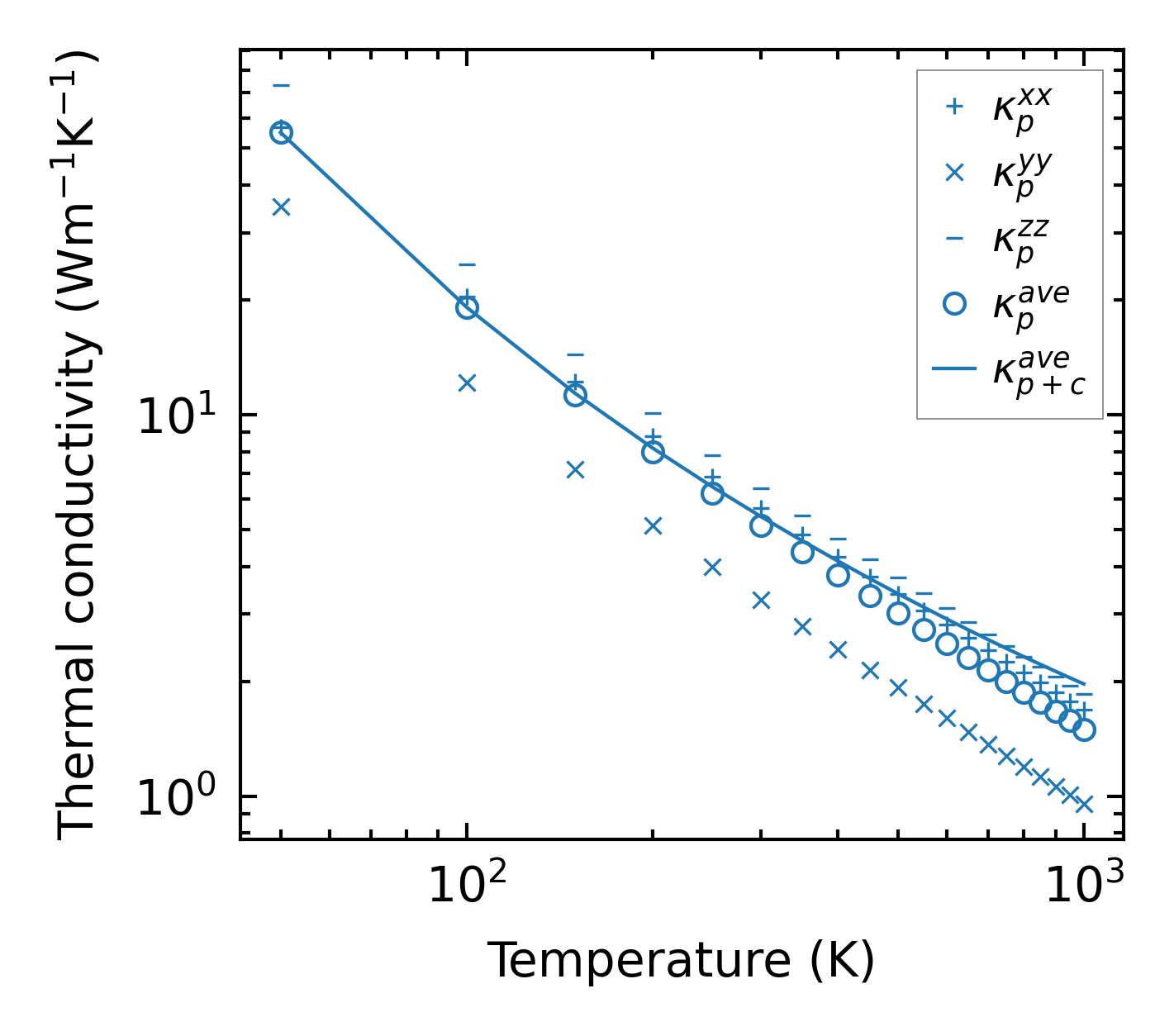
Thermal conductivity

3-phonon (LASSO) — q-mesh: 13x13x7, supercell: 3x1x1

../../_images/fig_kappa2826.png

(a) Temperature-dependent lattice thermal conductivity

../../_images/fig_kappa_vs_grain_size1483.png

(b) Peierls lattice thermal conductivity w.r.t grain size

Phonon lifetime and scattering rates

../../_images/fig_lifetime1457.png

(a) Phonon lifetime due to phonon-phonon scattering

../../_images/fig_scat_rates1456.png

(b) Phonon scattering rates

Cumulative and spectral thermal conductivity

../../_images/fig_cumu_frequency1457.png

(a) Spectral and cumulative thermal conductivity w.r.t frequency

../../_images/fig_cumu_mfp1457.png

(b) Spectral and cumulative thermal conductivity w.r.t MFP

Force constants

../../_images/fig_fc22935.png

(a) Force constants w.r.t atomic distance

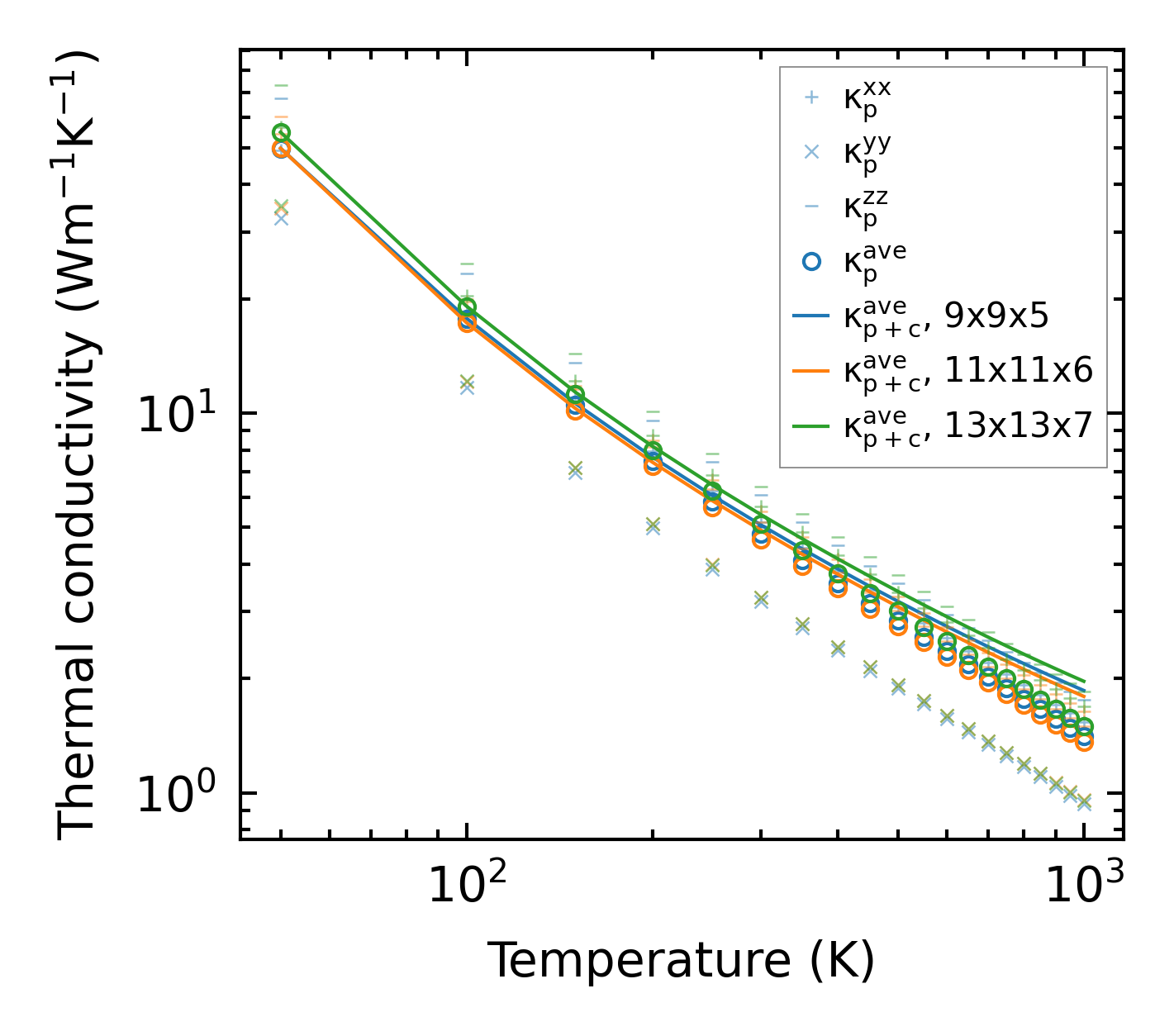
Summary

../../_images/fig_kappa2827.png

(a) Temperature-dependent lattice thermal conductivity

../../_images/fig_times5379.png

(b) Computation time