mp-757835-2/Li2VCo3O8/anharm

Harmonic properties

../../_images/fig_bandos_pr3184.png

(a) Phonon dispersion with participation ratio and DOS

../../_images/fig_bandos4195.png

(b) Phonon dispersion and DOS

../../_images/fig_thermo3184.png

(c) Thermodynamic properties

Grüneisen parameters

../../_images/fig_gru_all1481.png

(a) Grüneisen parameters

../../_images/fig_gruneisen1481.png

(b) Phonon dispersion with Grüneisen parameters

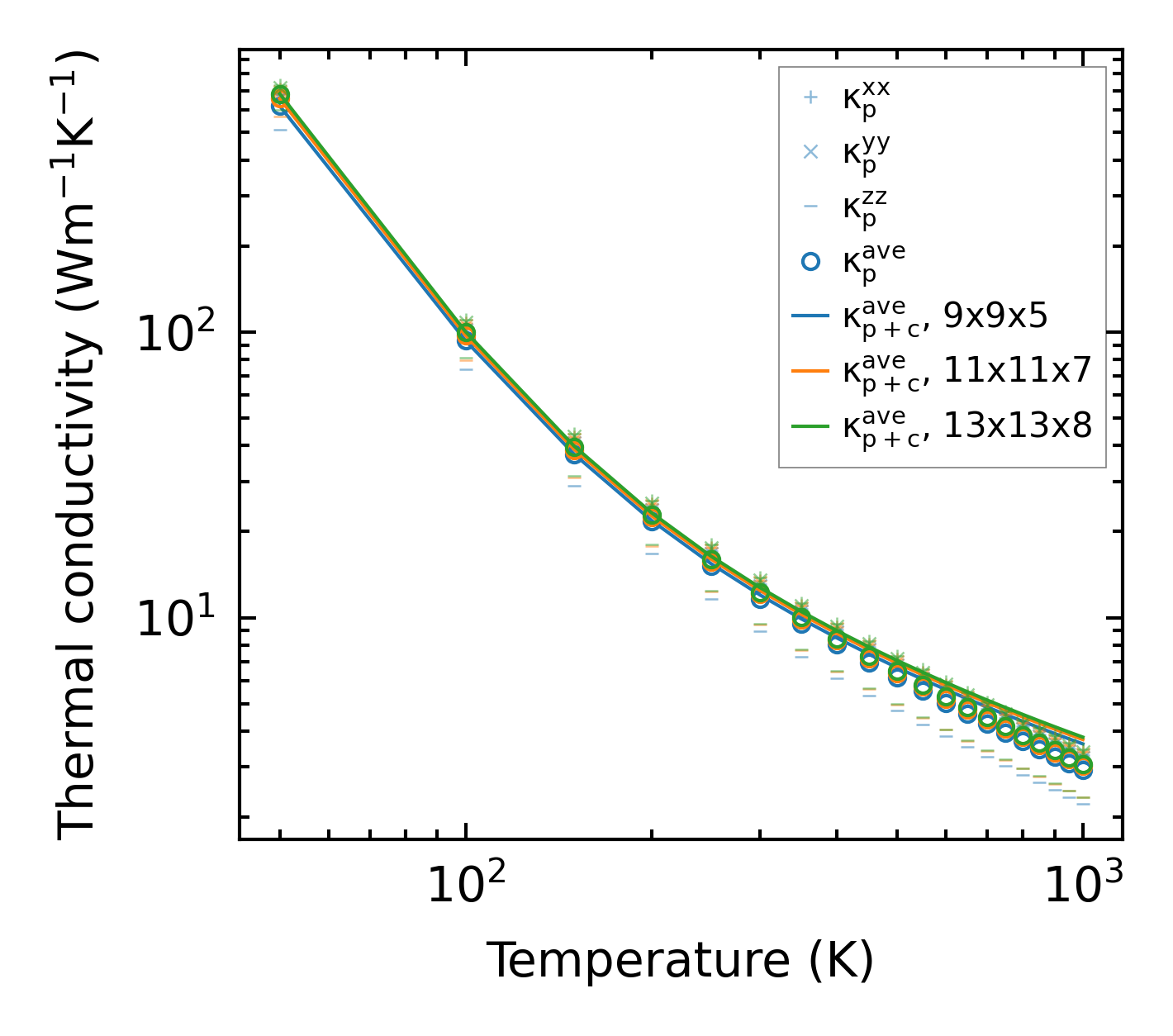
Thermal conductivity

3-phonon (LASSO) — q-mesh: 13x13x8, supercell: 2x1x1

../../_images/fig_kappa2849.png

(a) Temperature-dependent lattice thermal conductivity

../../_images/fig_kappa_vs_grain_size1498.png

(b) Peierls lattice thermal conductivity w.r.t grain size

Phonon lifetime and scattering rates

../../_images/fig_lifetime1471.png

(a) Phonon lifetime due to phonon-phonon scattering

../../_images/fig_scat_rates1470.png

(b) Phonon scattering rates

Cumulative and spectral thermal conductivity

../../_images/fig_cumu_frequency1471.png

(a) Spectral and cumulative thermal conductivity w.r.t frequency

../../_images/fig_cumu_mfp1471.png

(b) Spectral and cumulative thermal conductivity w.r.t MFP

Force constants

../../_images/fig_fc23003.png

(a) Force constants w.r.t atomic distance

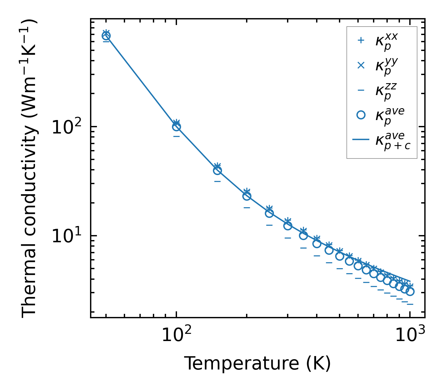
Summary

../../_images/fig_kappa2850.png

(a) Temperature-dependent lattice thermal conductivity

../../_images/fig_times5518.png

(b) Computation time