mp-757303-2/Mg17As6O32/anharm

Equation of state

../../_images/fig_bm1425.png

(a) Equation of state

Harmonic properties

../../_images/fig_bandos_pr3138.png

(a) Phonon dispersion with participation ratio and DOS

../../_images/fig_bandos4115.png

(b) Phonon dispersion and DOS

../../_images/fig_thermo3138.png

(c) Thermodynamic properties

Grüneisen parameters

../../_images/fig_gru_all1470.png

(a) Grüneisen parameters

../../_images/fig_gruneisen1470.png

(b) Phonon dispersion with Grüneisen parameters

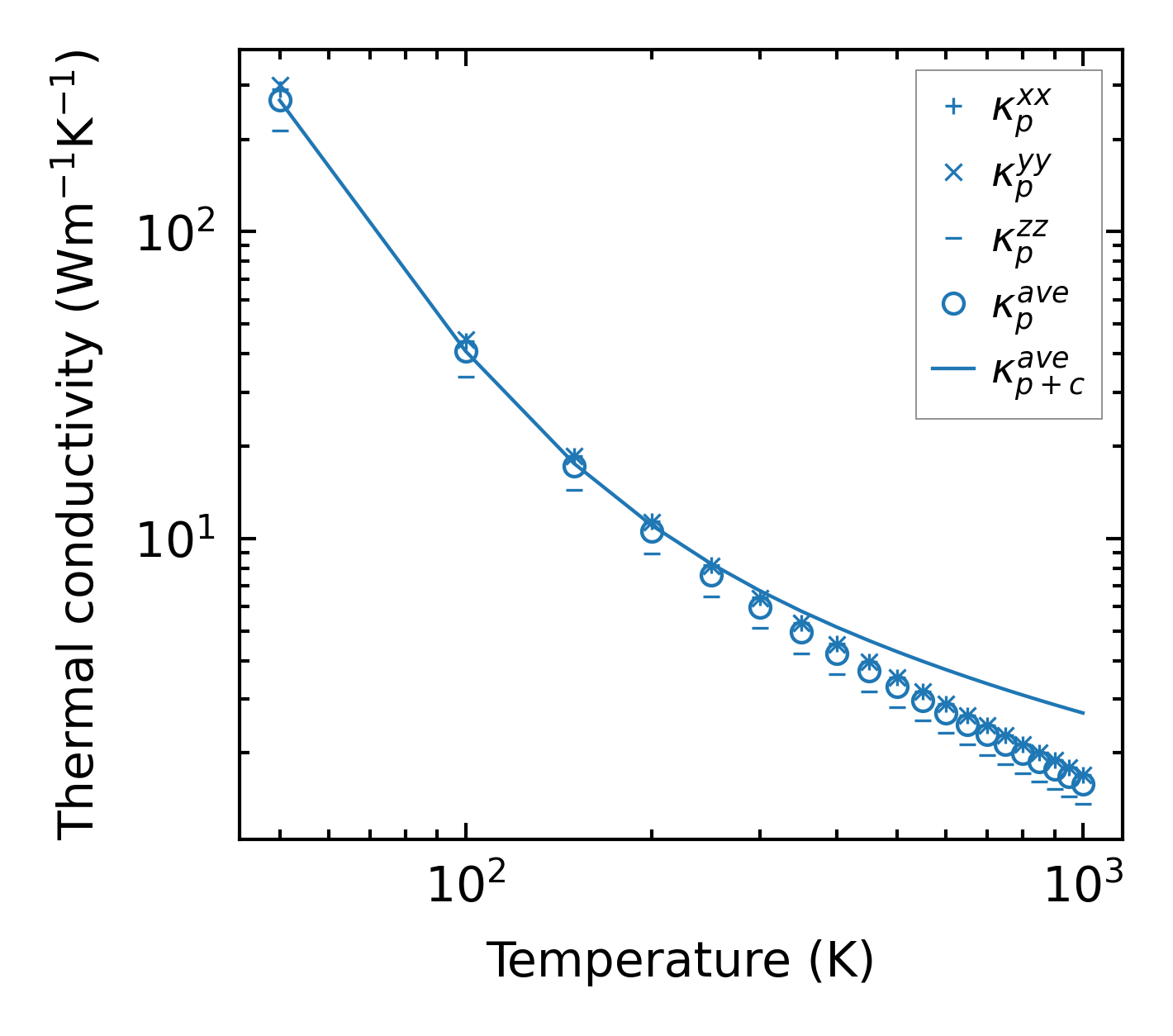
Thermal conductivity

3-phonon (LASSO), supercell 2x2x1 — q-mesh: 7x12x7, supercell: 2x2x1

../../_images/fig_kappa2832.png

(a) Temperature-dependent lattice thermal conductivity

../../_images/fig_kappa_vs_grain_size1486.png

(b) Peierls lattice thermal conductivity w.r.t grain size

Phonon lifetime and scattering rates

../../_images/fig_lifetime1460.png

(a) Phonon lifetime due to phonon-phonon scattering

../../_images/fig_scat_rates1459.png

(b) Phonon scattering rates

Cumulative and spectral thermal conductivity

../../_images/fig_cumu_frequency1460.png

(a) Spectral and cumulative thermal conductivity w.r.t frequency

../../_images/fig_cumu_mfp1460.png

(b) Spectral and cumulative thermal conductivity w.r.t MFP

Force constants

../../_images/fig_fc22957.png

(a) Force constants w.r.t atomic distance

Summary

../../_images/fig_times5433.png

(a) Computation time