mp-757826/CsCaN3O6/harm

Equation of state

../../_images/fig_bm1461.png

(a) Equation of state

Harmonic properties

../../_images/fig_bandos_pr3182.png

(a) Phonon dispersion with participation ratio and DOS

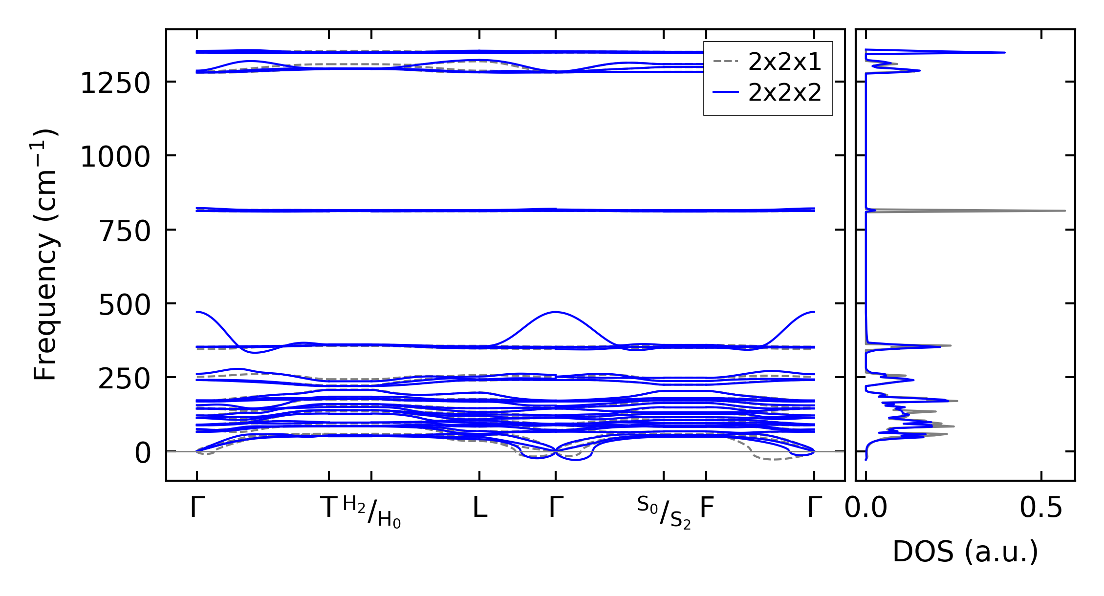
../../_images/fig_bandos4194.png

(b) Phonon dispersion and DOS

../../_images/fig_thermo3182.png

(c) Thermodynamic properties

Force constants

../../_images/fig_fc23001.png

(a) Force constants w.r.t atomic distance

Summary

../../_images/fig_times5516.png

(a) Computation time