mp-757586/Ba2TlH7O7/harm

Equation of state

../../_images/fig_bm1446.png

(a) Equation of state

Harmonic properties

../../_images/fig_bandos_pr3166.png

(a) Phonon dispersion with participation ratio and DOS

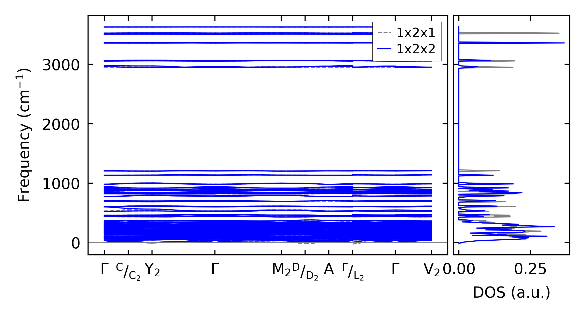
../../_images/fig_bandos4162.png

(b) Phonon dispersion and DOS

../../_images/fig_thermo3166.png

(c) Thermodynamic properties

Force constants

../../_images/fig_fc22985.png

(a) Force constants w.r.t atomic distance

Summary

../../_images/fig_times5483.png

(a) Computation time