mp-757074/BaCa2I6/anharm

Harmonic properties

../../_images/fig_bandos_pr3111.png

(a) Phonon dispersion with participation ratio and DOS

../../_images/fig_thermo3111.png

(b) Thermodynamic properties

Grüneisen parameters

../../_images/fig_gru_all1464.png

(a) Grüneisen parameters

../../_images/fig_gruneisen1464.png

(b) Phonon dispersion with Grüneisen parameters

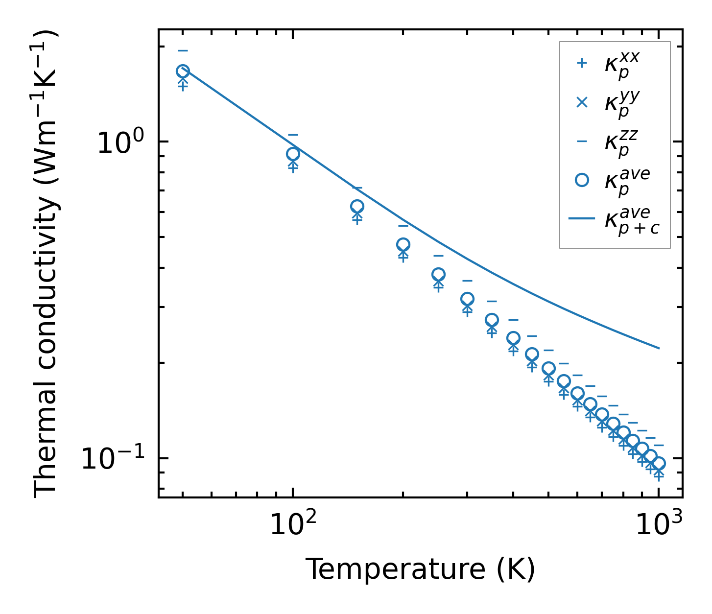
Thermal conductivity

3-phonon — q-mesh: 9x9x10, supercell: 2x2x3

../../_images/fig_kappa2821.png

(a) Temperature-dependent lattice thermal conductivity

../../_images/fig_kappa_vs_grain_size1480.png

(b) Peierls lattice thermal conductivity w.r.t grain size

Phonon lifetime and scattering rates

../../_images/fig_lifetime1454.png

(a) Phonon lifetime due to phonon-phonon scattering

../../_images/fig_scat_rates1453.png

(b) Phonon scattering rates

Cumulative and spectral thermal conductivity

../../_images/fig_cumu_frequency1454.png

(a) Spectral and cumulative thermal conductivity w.r.t frequency

../../_images/fig_cumu_mfp1454.png

(b) Spectral and cumulative thermal conductivity w.r.t MFP

Force constants

../../_images/fig_fc3180.png

(a) Force constants w.r.t atomic distance

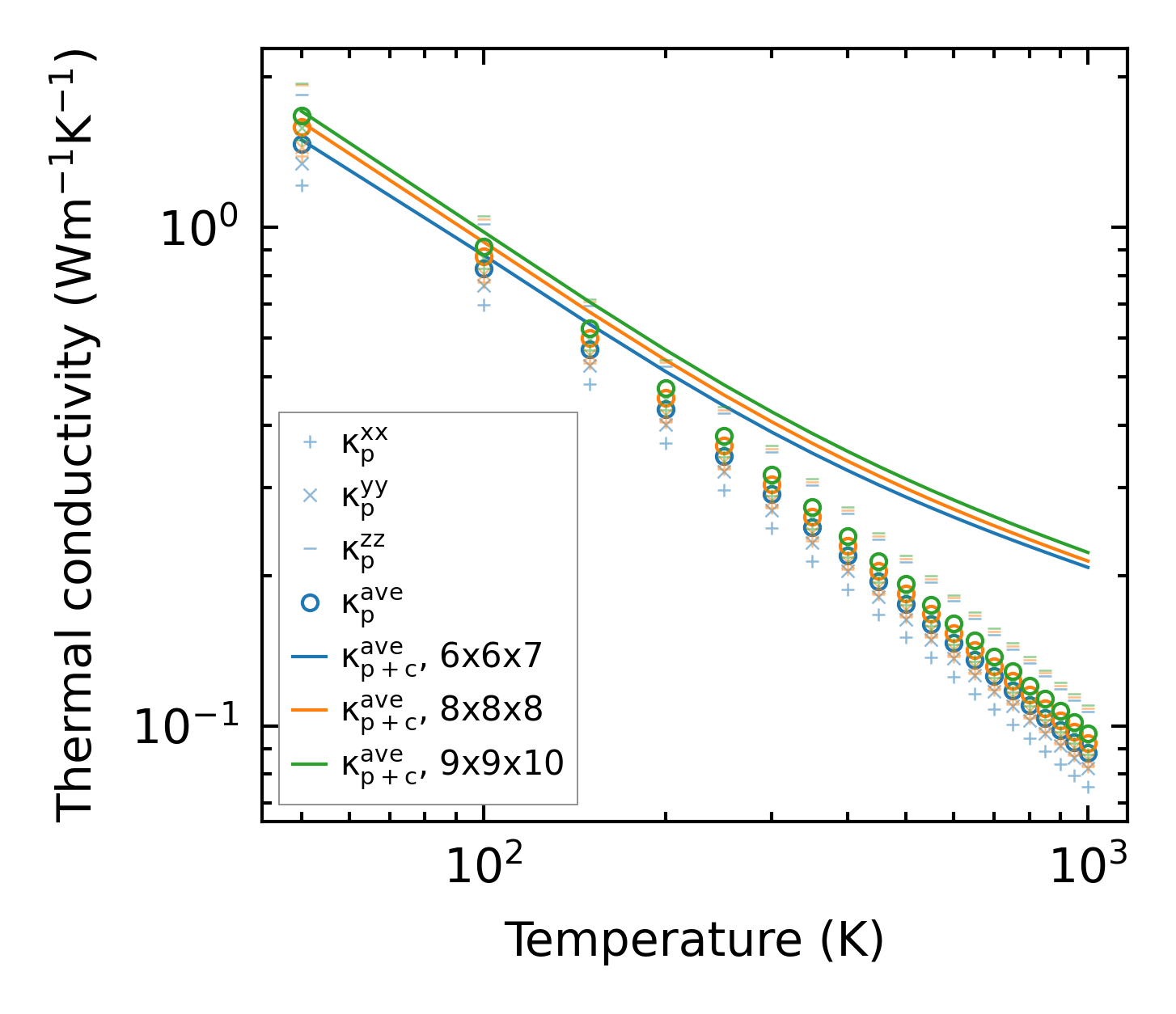
Summary

../../_images/fig_kappa2822.png

(a) Temperature-dependent lattice thermal conductivity

../../_images/fig_times5373.png

(b) Computation time