mp-561751/CsErS2/anharm

Harmonic properties

../../_images/fig_bandos_pr7438.png

(a) Phonon dispersion with participation ratio and DOS

../../_images/fig_thermo7438.png

(b) Thermodynamic properties

Grüneisen parameters

../../_images/fig_gru_all3121.png

(a) Grüneisen parameters

../../_images/fig_gruneisen3121.png

(b) Phonon dispersion with Grüneisen parameters

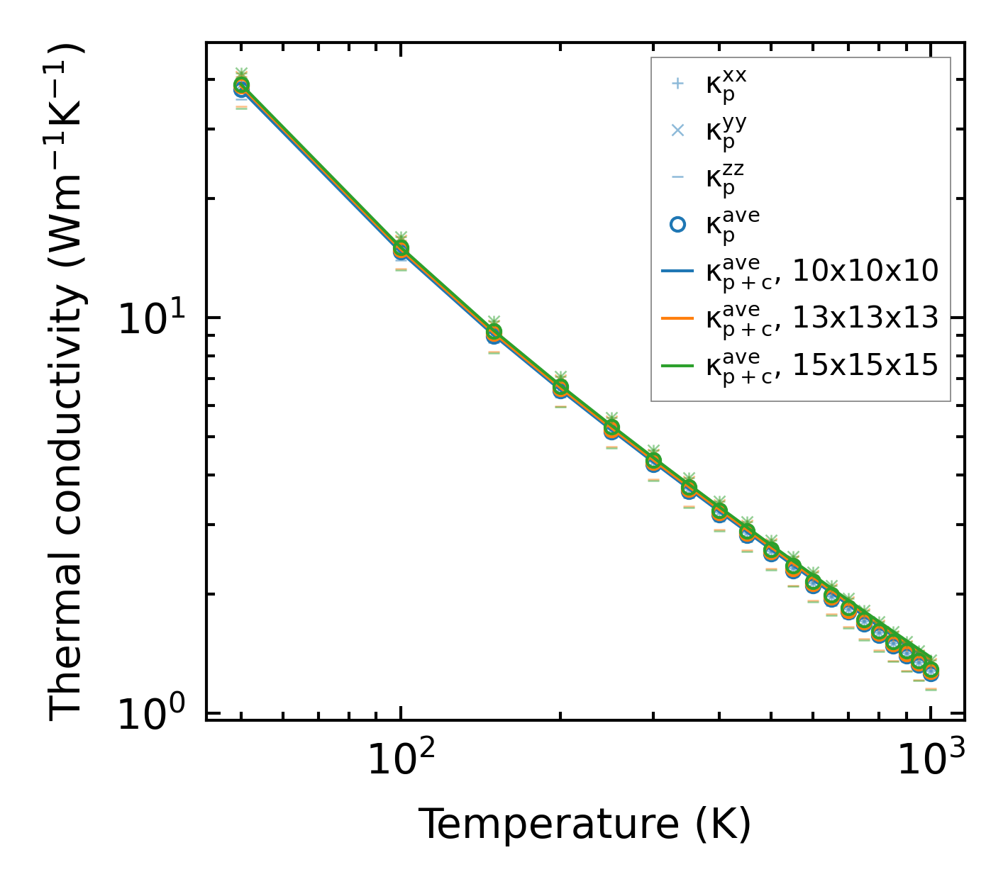
Thermal conductivity

3-phonon (LASSO) — q-mesh: 15x15x15, supercell: 3x3x1

../../_images/fig_kappa5910.png

(a) Temperature-dependent lattice thermal conductivity

../../_images/fig_kappa_vs_grain_size3162.png

(b) Peierls lattice thermal conductivity w.r.t grain size

Phonon lifetime and scattering rates

../../_images/fig_lifetime3093.png

(a) Phonon lifetime due to phonon-phonon scattering

../../_images/fig_scat_rates3092.png

(b) Phonon scattering rates

Cumulative and spectral thermal conductivity

../../_images/fig_cumu_frequency3093.png

(a) Spectral and cumulative thermal conductivity w.r.t frequency

../../_images/fig_cumu_mfp3092.png

(b) Spectral and cumulative thermal conductivity w.r.t MFP

Force constants

../../_images/fig_fc27202.png

(a) Force constants w.r.t atomic distance

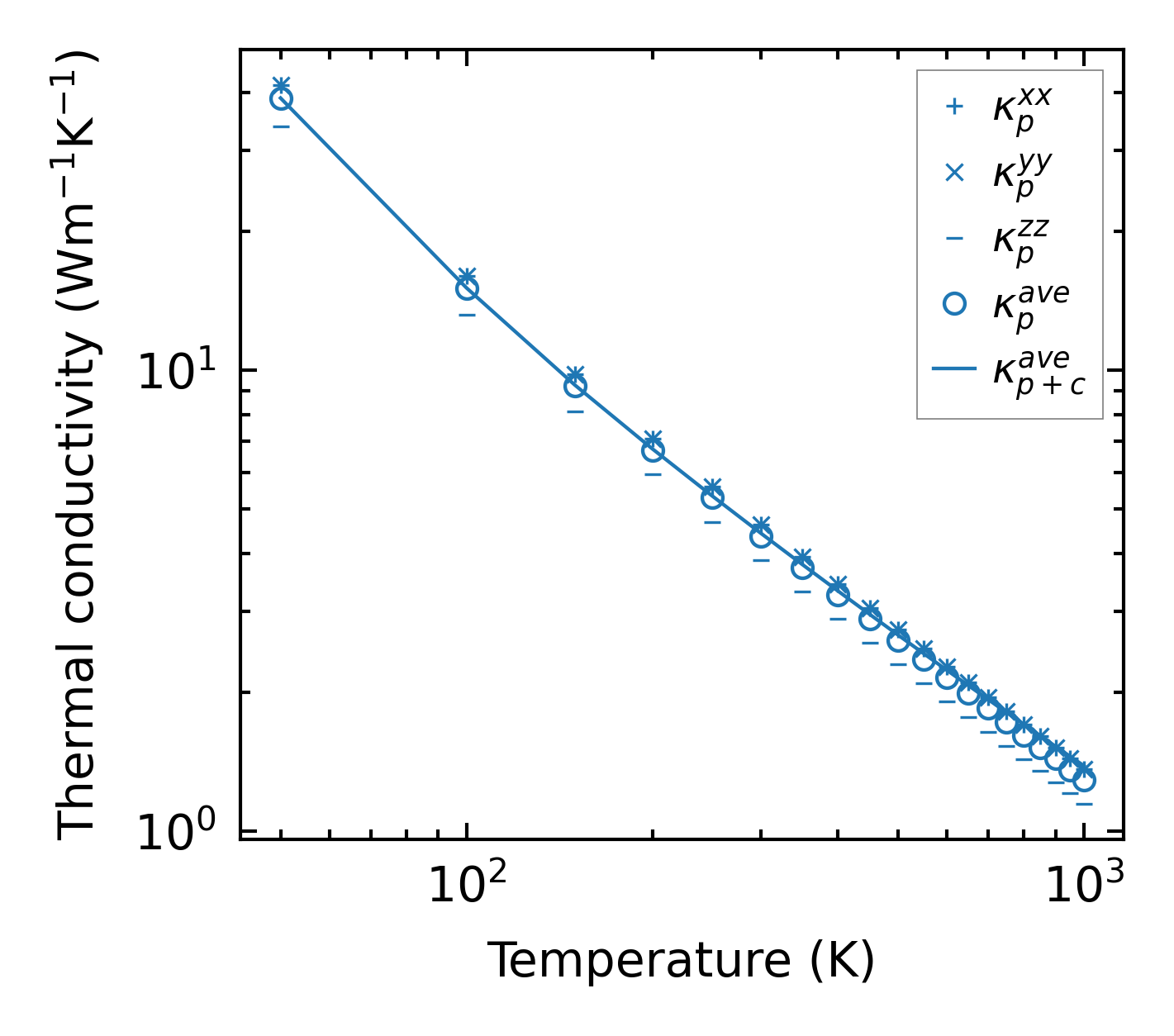
Summary

../../_images/fig_kappa5911.png

(a) Temperature-dependent lattice thermal conductivity

../../_images/fig_times13174.png

(b) Computation time