mp-561622/Cs2AgAsS4/anharm

Harmonic properties

../../_images/fig_bandos_pr7428.png

(a) Phonon dispersion with participation ratio and DOS

../../_images/fig_thermo7428.png

(b) Thermodynamic properties

Grüneisen parameters

../../_images/fig_gru_all3116.png

(a) Grüneisen parameters

../../_images/fig_gruneisen3116.png

(b) Phonon dispersion with Grüneisen parameters

Thermal conductivity

3-phonon (LASSO) — q-mesh: 11x10x6, supercell: 2x2x2

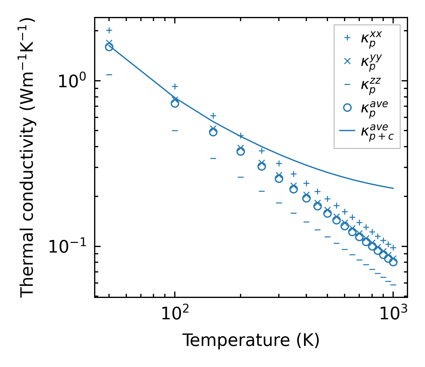
../../_images/fig_kappa5901.png

(a) Temperature-dependent lattice thermal conductivity

../../_images/fig_kappa_vs_grain_size3157.png

(b) Peierls lattice thermal conductivity w.r.t grain size

Phonon lifetime and scattering rates

../../_images/fig_lifetime3089.png

(a) Phonon lifetime due to phonon-phonon scattering

../../_images/fig_scat_rates3088.png

(b) Phonon scattering rates

Cumulative and spectral thermal conductivity

../../_images/fig_cumu_frequency3089.png

(a) Spectral and cumulative thermal conductivity w.r.t frequency

../../_images/fig_cumu_mfp3088.png

(b) Spectral and cumulative thermal conductivity w.r.t MFP

Force constants

../../_images/fig_fc27192.png

(a) Force constants w.r.t atomic distance

Summary

../../_images/fig_kappa5902.png

(a) Temperature-dependent lattice thermal conductivity

../../_images/fig_times13161.png

(b) Computation time