mp-561249/Ba17Er16Zn8Pt4O57/anharm

Harmonic properties

../../_images/fig_bandos_pr7349.png

(a) Phonon dispersion with participation ratio and DOS

../../_images/fig_thermo7349.png

(b) Thermodynamic properties

Grüneisen parameters

../../_images/fig_gru_all3096.png

(a) Grüneisen parameters

../../_images/fig_gruneisen3096.png

(b) Phonon dispersion with Grüneisen parameters

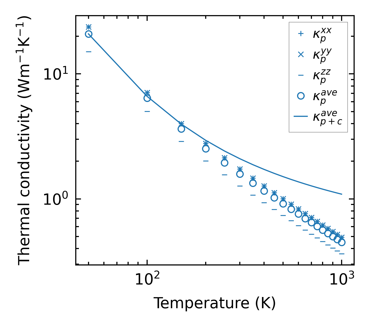
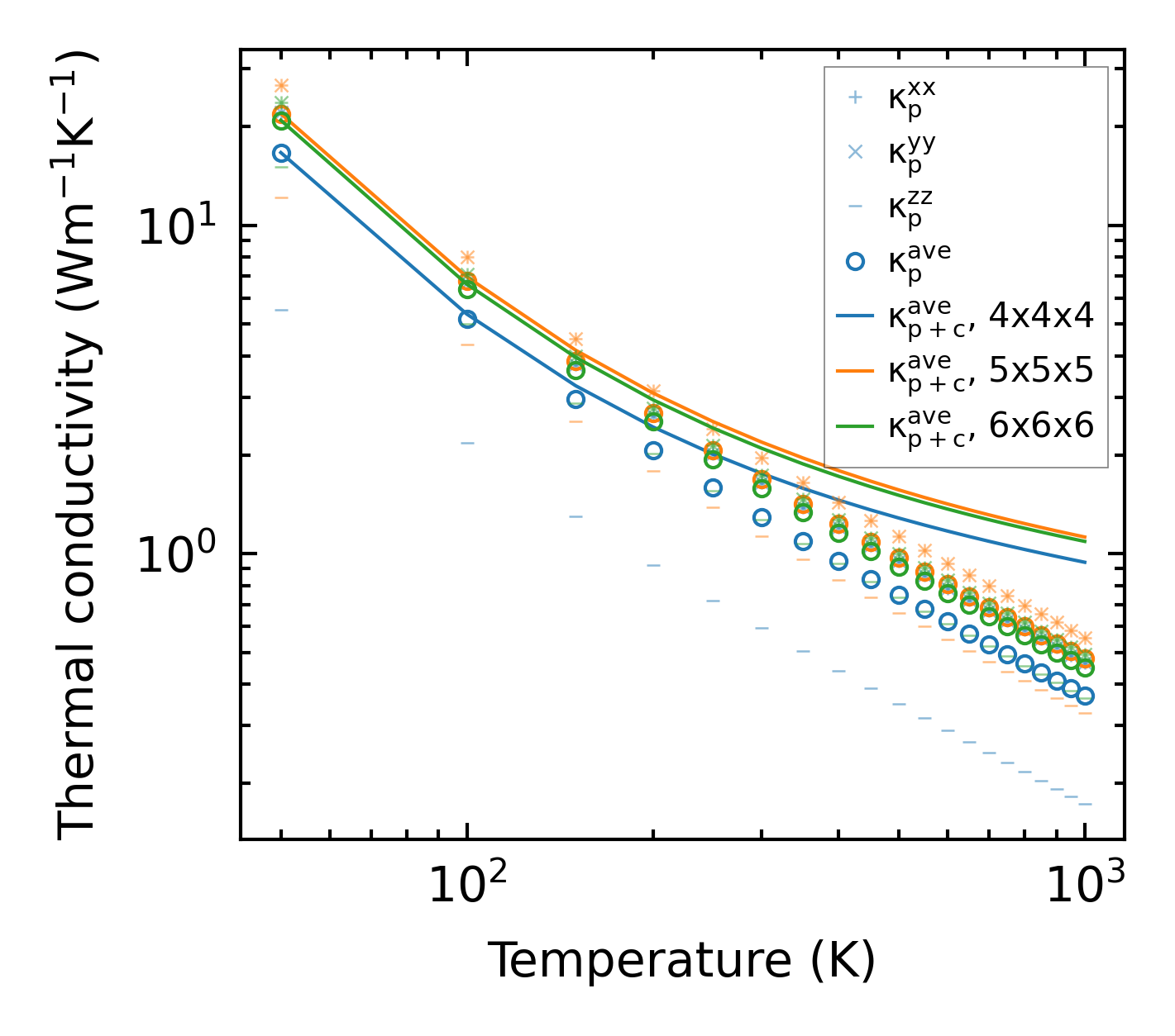
Thermal conductivity

3-phonon (LASSO) — q-mesh: 6x6x6, supercell: 1x1x1

../../_images/fig_kappa5863.png

(a) Temperature-dependent lattice thermal conductivity

../../_images/fig_kappa_vs_grain_size3138.png

(b) Peierls lattice thermal conductivity w.r.t grain size

Phonon lifetime and scattering rates

../../_images/fig_lifetime3070.png

(a) Phonon lifetime due to phonon-phonon scattering

../../_images/fig_scat_rates3069.png

(b) Phonon scattering rates

Cumulative and spectral thermal conductivity

../../_images/fig_cumu_frequency3070.png

(a) Spectral and cumulative thermal conductivity w.r.t frequency

../../_images/fig_cumu_mfp3069.png

(b) Spectral and cumulative thermal conductivity w.r.t MFP

Force constants

../../_images/fig_fc27113.png

(a) Force constants w.r.t atomic distance

Summary

../../_images/fig_kappa5864.png

(a) Temperature-dependent lattice thermal conductivity

../../_images/fig_times13033.png

(b) Computation time